🇳🇴 🇬🇧 🇩🇪 🇨🇿 🇫🇮

Meteor Neskollenin yllä 2020-01-10 15:29:23 UTC

KML-tiedosto  |  Interaktiivinen kartta

Kartta näyttää meteorin suuntahavainnot. Vaaleammat viivat näyttävät suunnat havaintoasemilta meteorin ilmestyessä, ja tummemmat viivat näyttävät, missä se viimeksi nähtiin. Sininen nuoli näyttää meteorin näkyvän lennon.

static map
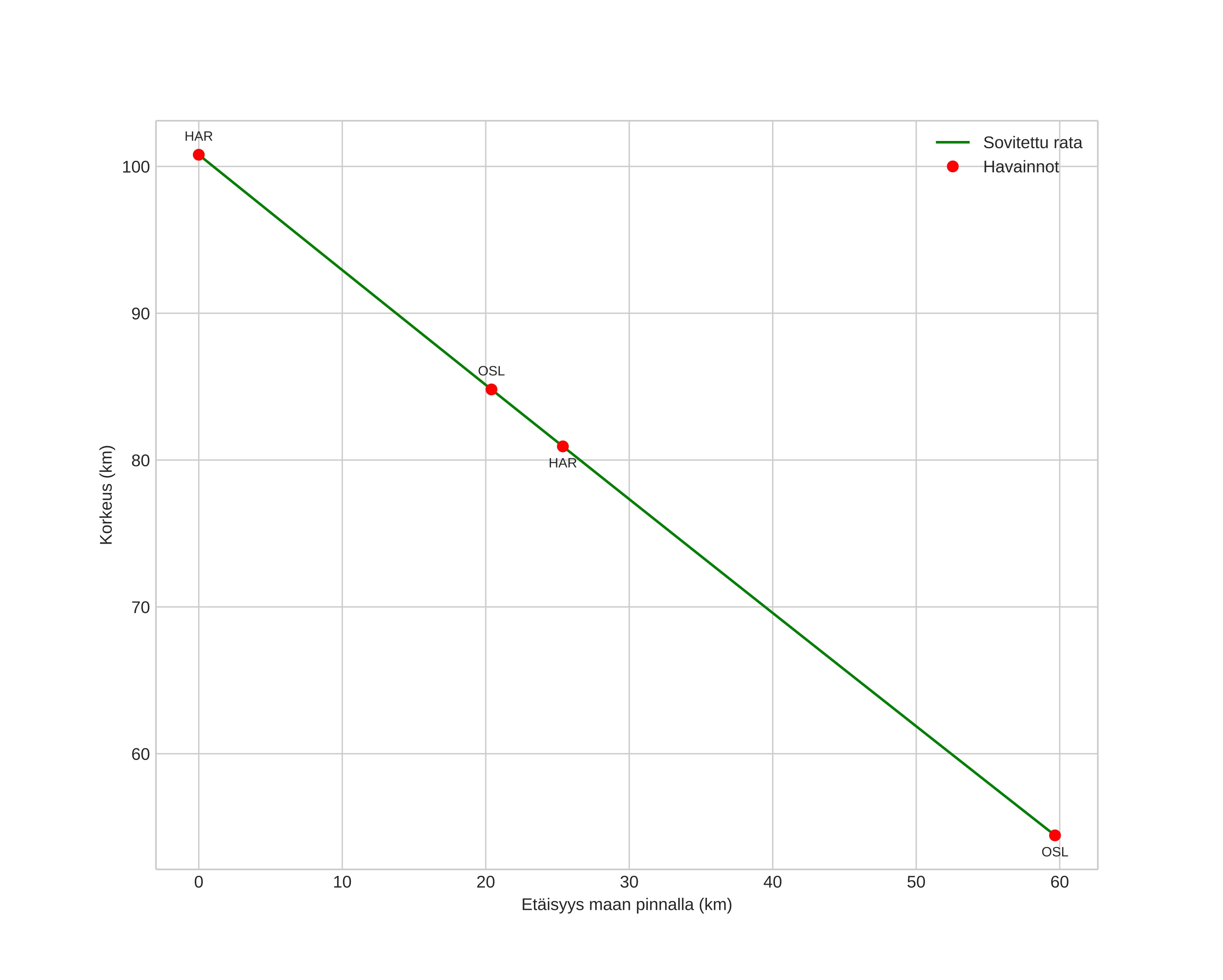
height profile
Meteorin ilmakehärata:
Alkukorkeus: 87,9 km
Loppukorkeus: 80,9 km
Alkupiste: 60,181N 11,285E
Loppupiste: 60,248N 11,399E
Suunta: 40,2°
Kallistuskulma: 35,6°
Tulonopeus: 17,4 km/s
Radiantin R,A,: 21:09 (317,4°)
Radiantin Dekl,: 4,0°
Meteoriparvi: Sporadinen
Meteoroidin rataelementit:
Perihelietäisyys: 0,888 AU
Eksentrisyys: 0,706
Inklinaatio: 7,0°
Nousevan solmun pituus: 289,6°
Perihelin argumentti: 140,0°
Keskianomalia: 5,2°
Epookki: 2020 JAN 10 15:29:23
orbit plot

Ei-interaktiivinen kuvaaja | Interaktiivinen kuvaaja

position vs time
speed and acceleration