🇳🇴 🇬🇧 🇩🇪 🇨🇿 🇫🇮

Meteor, poloha: Skarnes 2020-01-18 19:48:30 UTC

Soubor KML  |  InteraktivnĂ­ mapa

Mapa zobrazuje dráhy meteoru. Světlejší čáry ukazují směry od pozorovacích stanic při objevení se meteoru a tmavší čáry, kde byl naposledy viděn. Modrá šipka značí viditelnou dráhu meteoru.

static map
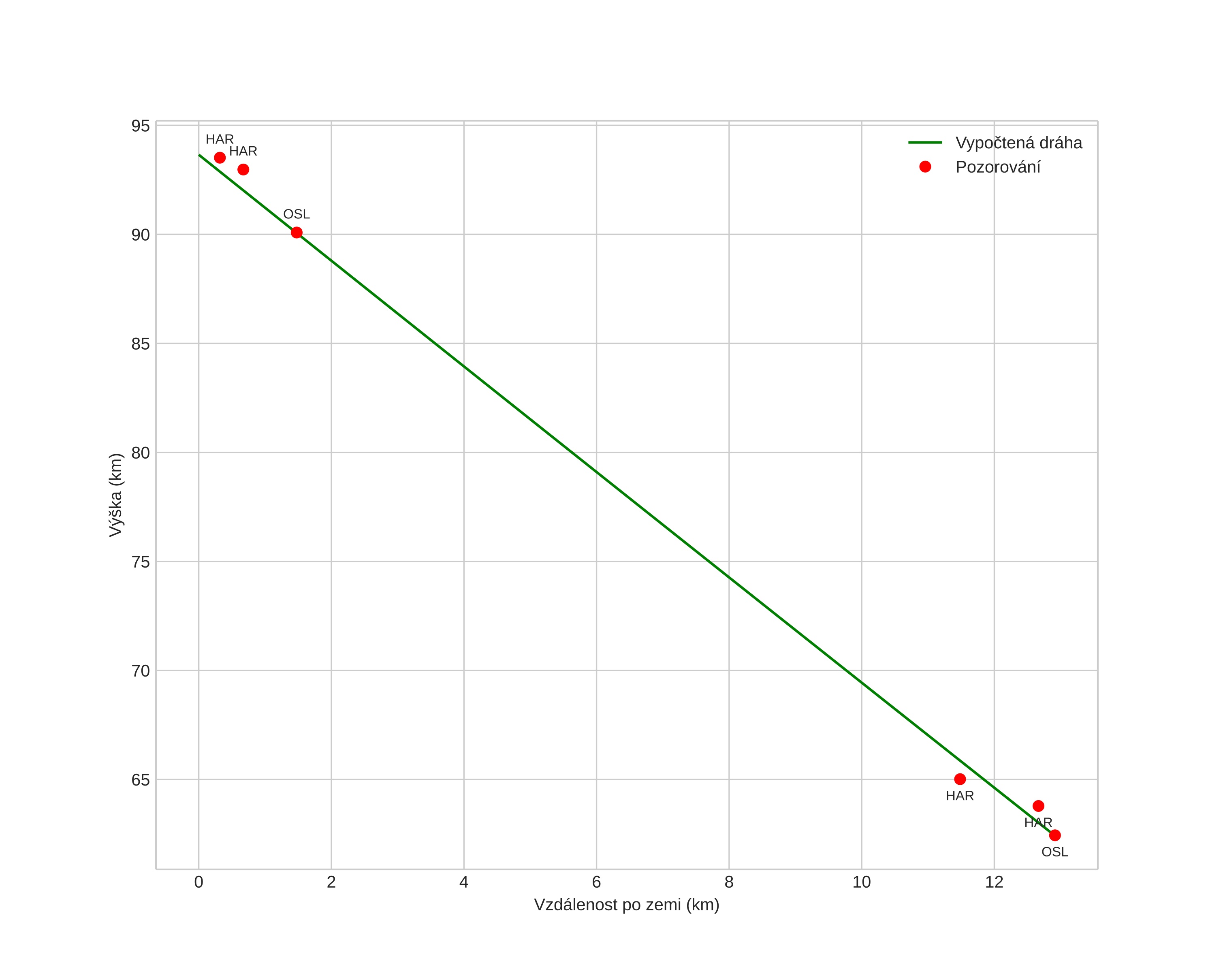
height profile
Atmosférická dráha meteoru:
Počáteční výška: 97,3 km
Konečná výška: 65,2 km
Počáteční poloha: 60,243N 11,825E
Konečná poloha: 60,151N 11,676E
Směr: 218,8°
Sklon: 67,8°
VstupnĂ­ rychlost: 23,8 km/s
Rektascenze radiantu: 07:53 (118,3°)
Deklinace radiantu: 72,3°
MeteorickĂ˝ roj: sporadickĂ˝
Elementy dráhy meteoroidu:
Vzdálenost v periheliu: 0,863 AU
Excentricita: 0,769
Sklon dráhy: 25,6°
Délka vzestupného uzlu: 297,9°
Argument perihelia: 224,1°
Střední anomálie: 356,0°
Epocha: 2020 JAN 18 19:48:30
orbit plot

NeinteraktivnĂ­ graf | InteraktivnĂ­ graf

position vs time
speed and acceleration