🇳🇴 🇬🇧 🇩🇪 🇨🇿 🇫🇮

Meteor Skarnesin yllä 2020-01-18 19:48:30 UTC

KML-tiedosto  |  Interaktiivinen kartta

Kartta näyttää meteorin suuntahavainnot. Vaaleammat viivat näyttävät suunnat havaintoasemilta meteorin ilmestyessä, ja tummemmat viivat näyttävät, missä se viimeksi nähtiin. Sininen nuoli näyttää meteorin näkyvän lennon.

static map
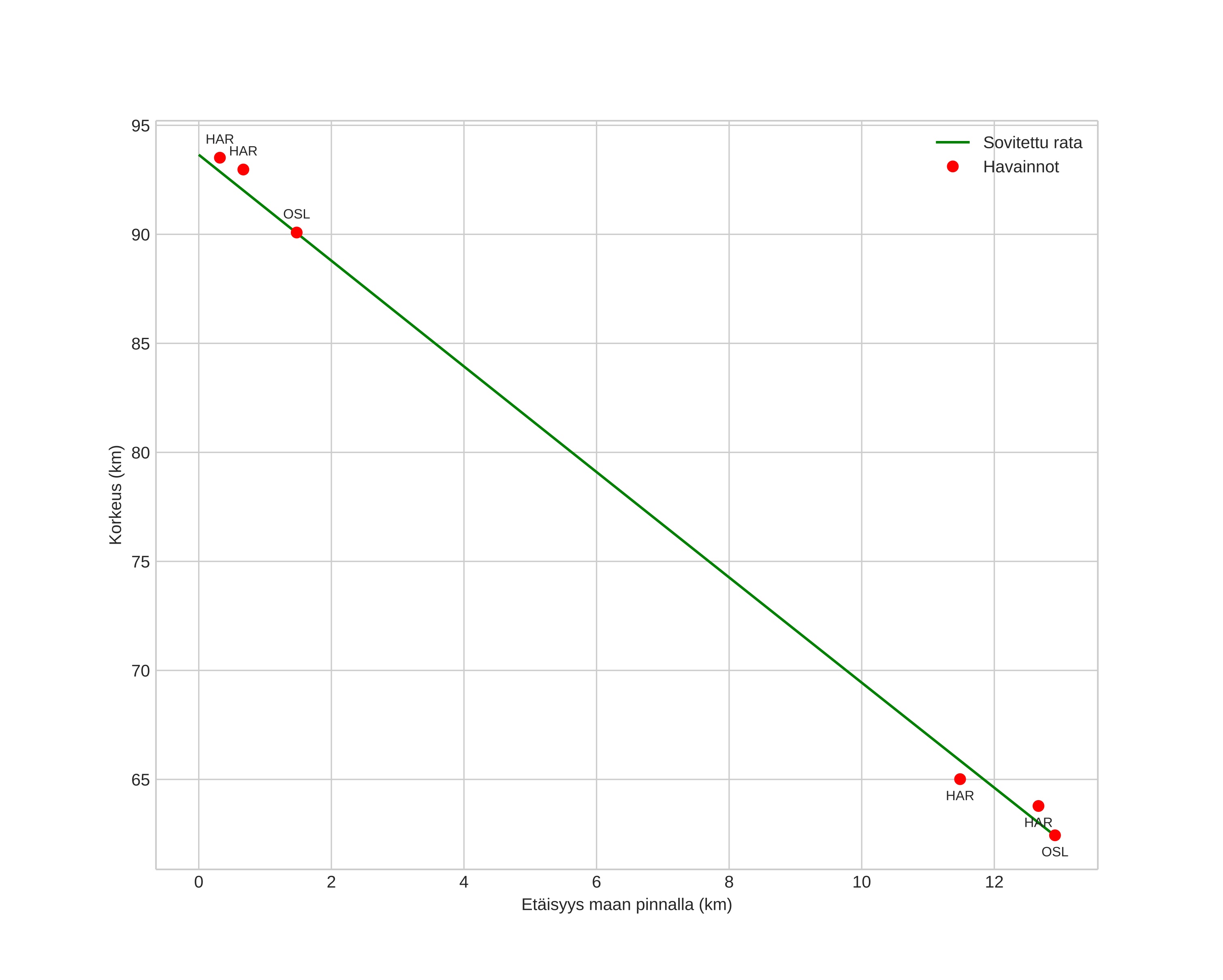
height profile
Meteorin ilmakehärata:
Alkukorkeus: 97,3 km
Loppukorkeus: 65,2 km
Alkupiste: 60,243N 11,825E
Loppupiste: 60,151N 11,676E
Suunta: 218,8°
Kallistuskulma: 67,8°
Tulonopeus: 23,8 km/s
Radiantin R,A,: 07:53 (118,3°)
Radiantin Dekl,: 72,3°
Meteoriparvi: Sporadinen
Meteoroidin rataelementit:
Perihelietäisyys: 0,863 AU
Eksentrisyys: 0,769
Inklinaatio: 25,6°
Nousevan solmun pituus: 297,9°
Perihelin argumentti: 224,1°
Keskianomalia: 356,0°
Epookki: 2020 JAN 18 19:48:30
orbit plot

Ei-interaktiivinen kuvaaja | Interaktiivinen kuvaaja

position vs time
speed and acceleration