🇳🇴 🇬🇧 🇩🇪 🇨🇿 🇫🇮

Meteor, poloha: Dokka 2020-01-18 21:44:31 UTC

Soubor KML  |  InteraktivnĂ­ mapa

Mapa zobrazuje dráhy meteoru. Světlejší čáry ukazují směry od pozorovacích stanic při objevení se meteoru a tmavší čáry, kde byl naposledy viděn. Modrá šipka značí viditelnou dráhu meteoru.

static map
height profile
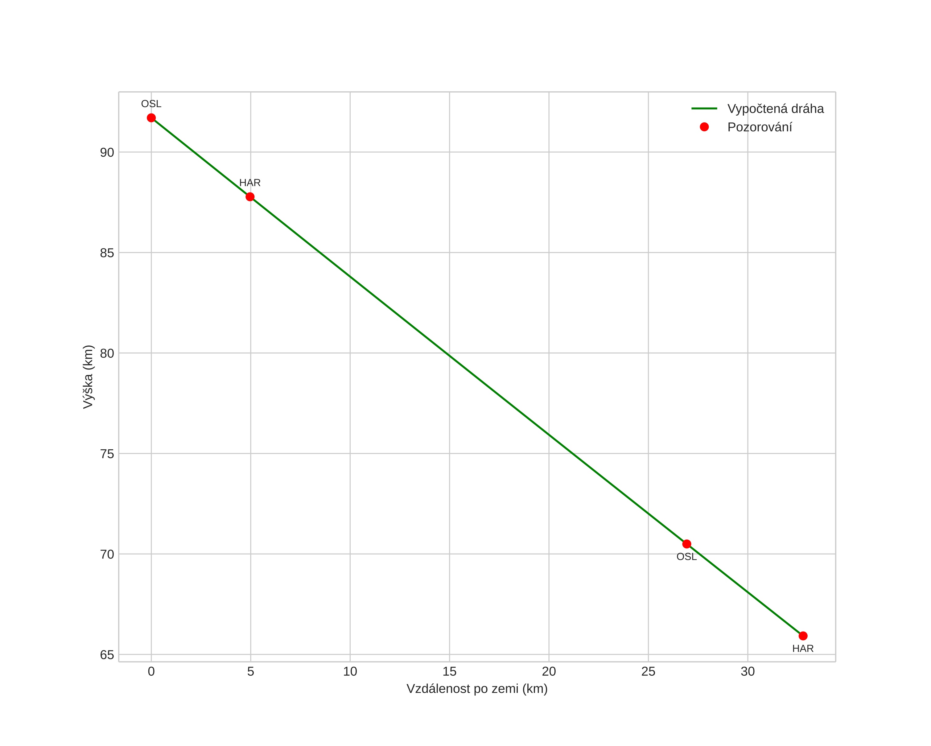
Atmosférická dráha meteoru:
Počáteční výška: 92,2 km
Konečná výška: 62,6 km
Počáteční poloha: 60,325N 10,399E
Konečná poloha: 60,533N 9,967E
Směr: 314,4°
Sklon: 41,8°
VstupnĂ­ rychlost: 31,2 km/s
Rektascenze radiantu: 08:33 (128,4°)
Deklinace radiantu: 17,2°
MeteorickĂ˝ roj: sporadickĂ˝
Elementy dráhy meteoroidu:
Vzdálenost v periheliu: 0,397 AU
Excentricita: 0,863
Sklon dráhy: 1,7°
Délka vzestupného uzlu: 118,1°
Argument perihelia: 106,6°
Střední anomálie: 351,7°
Epocha: 2020 JAN 18 21:44:31
orbit plot

NeinteraktivnĂ­ graf | InteraktivnĂ­ graf

position vs time
speed and acceleration