🇳🇴 🇬🇧 🇩🇪 🇨🇿 🇫🇮

Meteor Dokkan yllä 2020-01-18 21:44:31 UTC

KML-tiedosto  |  Interaktiivinen kartta

Kartta näyttää meteorin suuntahavainnot. Vaaleammat viivat näyttävät suunnat havaintoasemilta meteorin ilmestyessä, ja tummemmat viivat näyttävät, missä se viimeksi nähtiin. Sininen nuoli näyttää meteorin näkyvän lennon.

static map
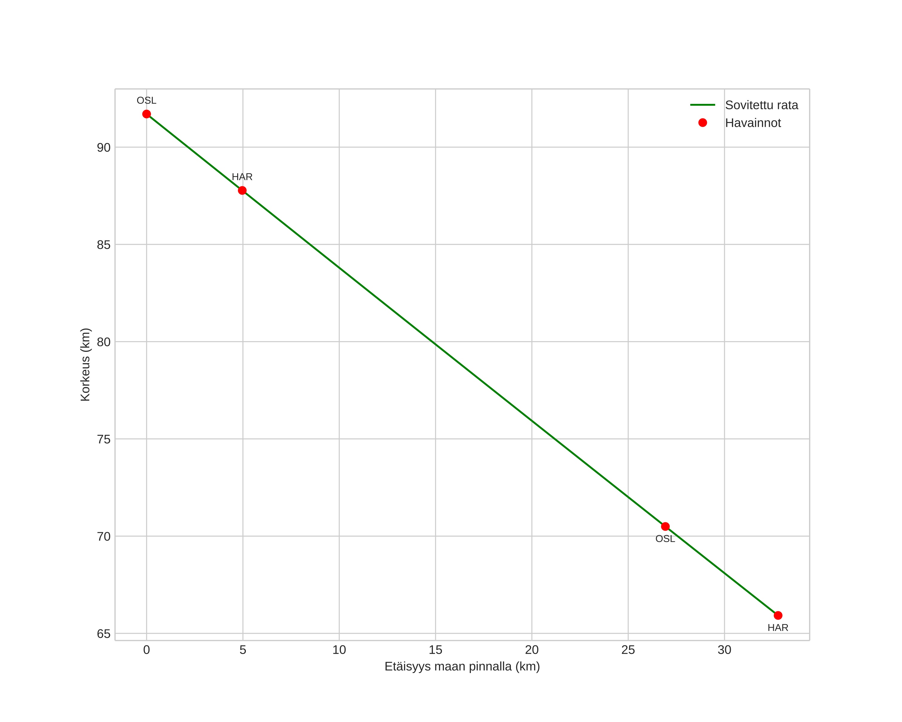
height profile
Meteorin ilmakehärata:
Alkukorkeus: 92,2 km
Loppukorkeus: 62,6 km
Alkupiste: 60,325N 10,399E
Loppupiste: 60,533N 9,967E
Suunta: 314,4°
Kallistuskulma: 41,8°
Tulonopeus: 31,2 km/s
Radiantin R,A,: 08:33 (128,4°)
Radiantin Dekl,: 17,2°
Meteoriparvi: Sporadinen
Meteoroidin rataelementit:
Perihelietäisyys: 0,397 AU
Eksentrisyys: 0,863
Inklinaatio: 1,7°
Nousevan solmun pituus: 118,1°
Perihelin argumentti: 106,6°
Keskianomalia: 351,7°
Epookki: 2020 JAN 18 21:44:31
orbit plot

Ei-interaktiivinen kuvaaja | Interaktiivinen kuvaaja

position vs time
speed and acceleration