🇳🇴 🇬🇧 🇩🇪 🇨🇿 🇫🇮

Meteor, poloha: Vik 2020-01-21 23:55:04 UTC

Soubor KML  |  InteraktivnĂ­ mapa

Mapa zobrazuje dráhy meteoru. Světlejší čáry ukazují směry od pozorovacích stanic při objevení se meteoru a tmavší čáry, kde byl naposledy viděn. Modrá šipka značí viditelnou dráhu meteoru.

static map
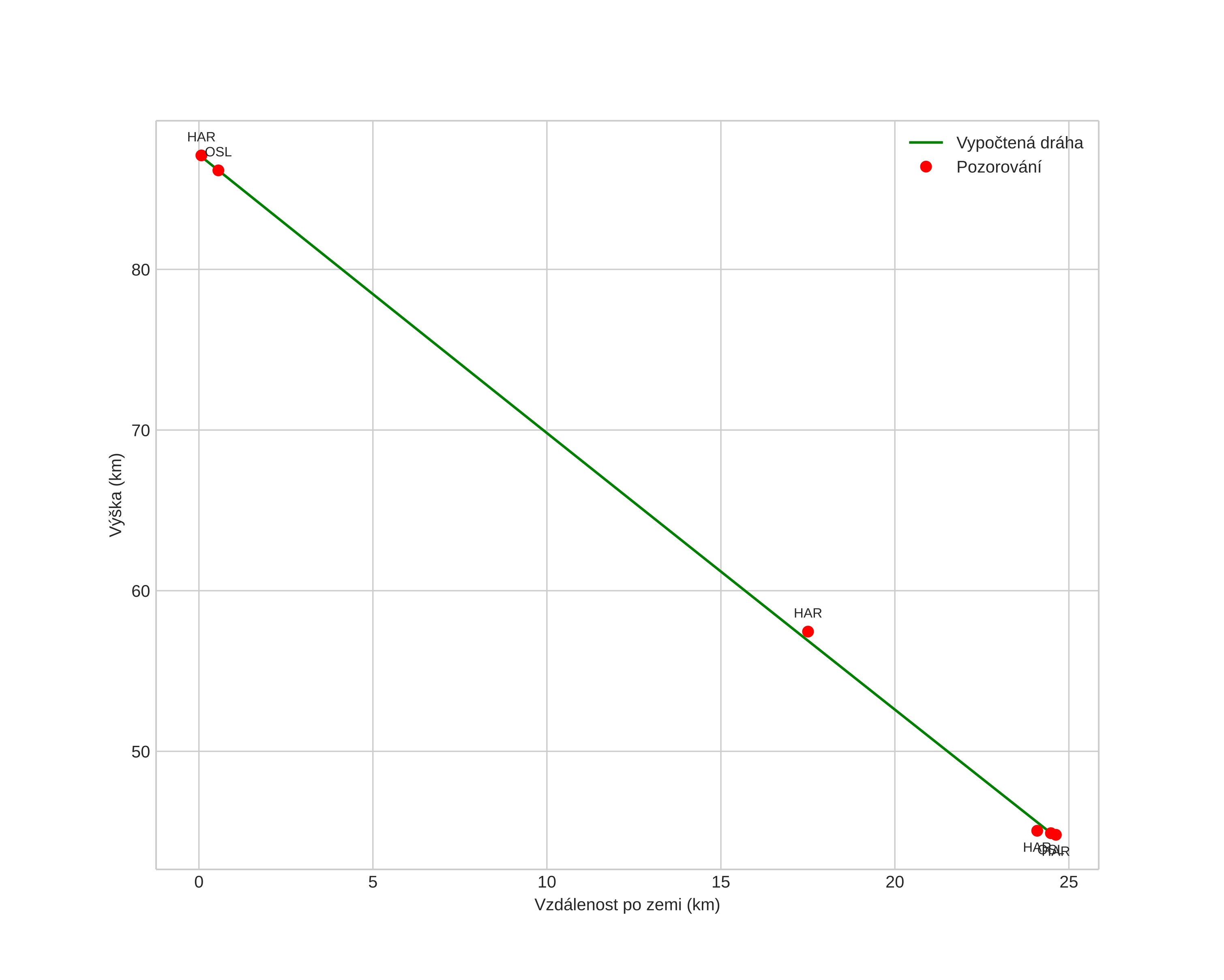
height profile
Atmosférická dráha meteoru:
Počáteční výška: 86,1 km
Konečná výška: 44,9 km
Počáteční poloha: 59,795N 10,293E
Konečná poloha: 60,014N 10,281E
Směr: 358,5°
Sklon: 59,4°
VstupnĂ­ rychlost: 24,7 km/s
Rektascenze radiantu: 08:39 (129,8°)
Deklinace radiantu: 27,4°
MeteorickĂ˝ roj: sporadickĂ˝
Elementy dráhy meteoroidu:
Vzdálenost v periheliu: 0,540 AU
Excentricita: 0,698
Sklon dráhy: 6,6°
Délka vzestupného uzlu: 301,1°
Argument perihelia: 275,7°
Střední anomálie: 340,6°
Epocha: 2020 JAN 21 23:55:04
orbit plot

NeinteraktivnĂ­ graf | InteraktivnĂ­ graf

position vs time
speed and acceleration