🇳🇴 🇬🇧 🇩🇪 🇨🇿 🇫🇮

Meteor Vikin yllä 2020-01-21 23:55:04 UTC

KML-tiedosto  |  Interaktiivinen kartta

Kartta näyttää meteorin suuntahavainnot. Vaaleammat viivat näyttävät suunnat havaintoasemilta meteorin ilmestyessä, ja tummemmat viivat näyttävät, missä se viimeksi nähtiin. Sininen nuoli näyttää meteorin näkyvän lennon.

static map
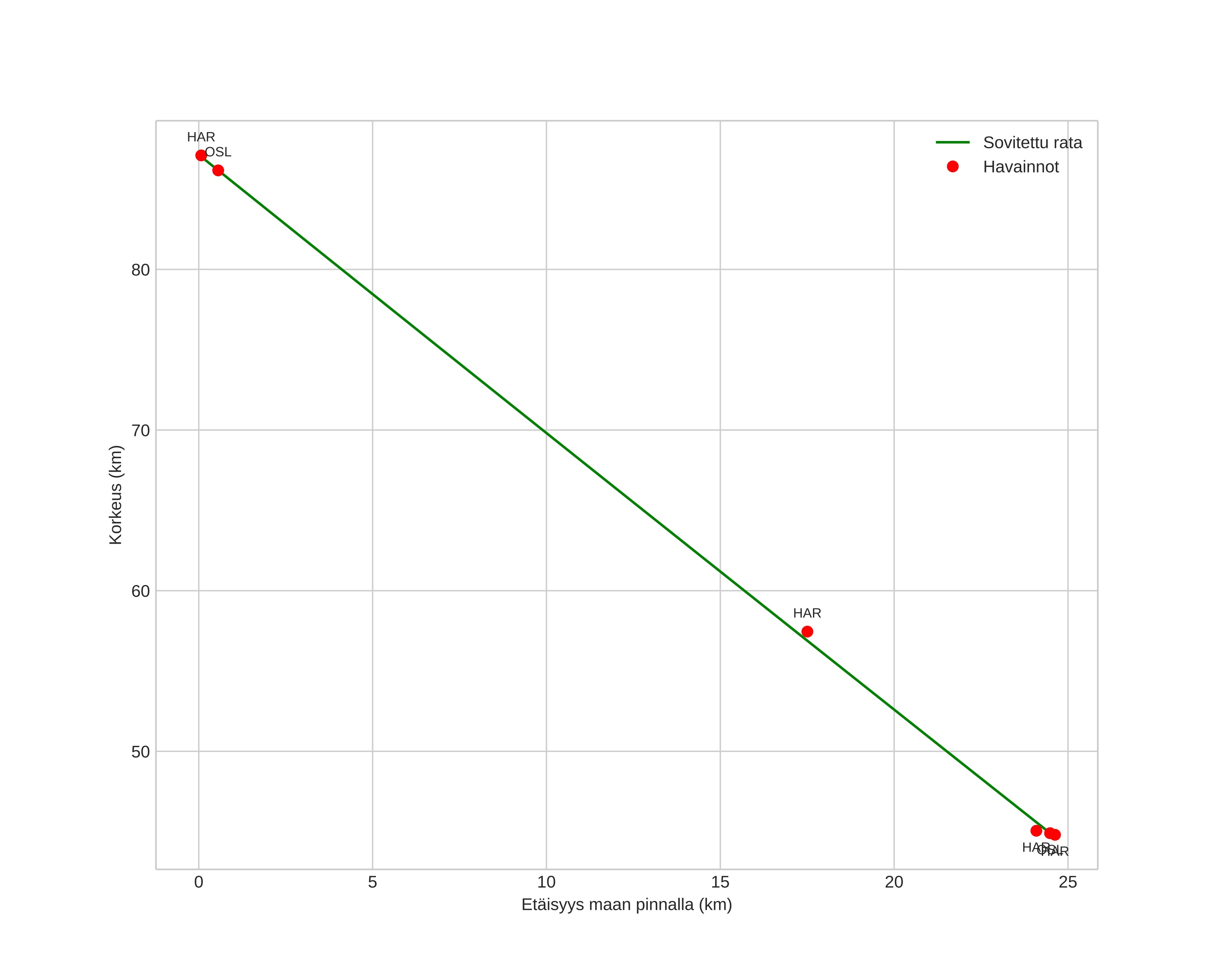
height profile
Meteorin ilmakehärata:
Alkukorkeus: 86,1 km
Loppukorkeus: 44,9 km
Alkupiste: 59,795N 10,293E
Loppupiste: 60,014N 10,281E
Suunta: 358,5°
Kallistuskulma: 59,4°
Tulonopeus: 24,7 km/s
Radiantin R,A,: 08:39 (129,8°)
Radiantin Dekl,: 27,4°
Meteoriparvi: Sporadinen
Meteoroidin rataelementit:
Perihelietäisyys: 0,540 AU
Eksentrisyys: 0,698
Inklinaatio: 6,6°
Nousevan solmun pituus: 301,1°
Perihelin argumentti: 275,7°
Keskianomalia: 340,6°
Epookki: 2020 JAN 21 23:55:04
orbit plot

Ei-interaktiivinen kuvaaja | Interaktiivinen kuvaaja

position vs time
speed and acceleration