🇳🇴 🇬🇧 🇩🇪 🇨🇿 🇫🇮

Meteor, poloha: Byrum 2020-01-24 17:30:39 UTC

Soubor KML  |  InteraktivnĂ­ mapa

Mapa zobrazuje dráhy meteoru. Světlejší čáry ukazují směry od pozorovacích stanic při objevení se meteoru a tmavší čáry, kde byl naposledy viděn. Modrá šipka značí viditelnou dráhu meteoru.

static map
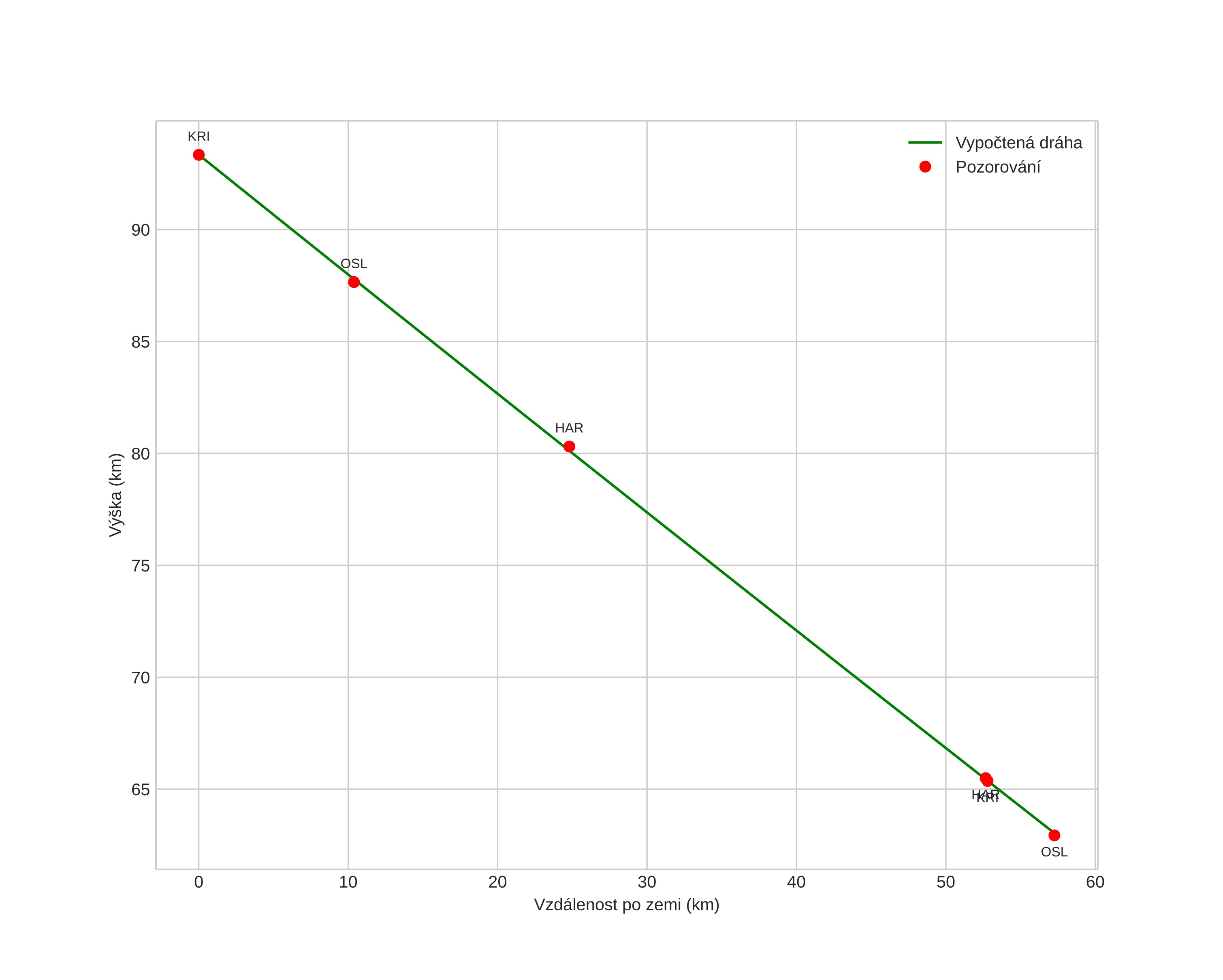
height profile
Atmosférická dráha meteoru:
Počáteční výška: 94,0 km
Konečná výška: 66,5 km
Počáteční poloha: 57,924N 10,495E
Konečná poloha: 57,450N 10,851E
Směr: 158,0°
Sklon: 25,8°
VstupnĂ­ rychlost: 35,1 km/s
Rektascenze radiantu: 16:45 (251,4°)
Deklinace radiantu: 52,4°
MeteorickĂ˝ roj: sporadickĂ˝
Elementy dráhy meteoroidu:
Vzdálenost v periheliu: 0,979 AU
Excentricita: 0,623
Sklon dráhy: 56,8°
Délka vzestupného uzlu: 303,9°
Argument perihelia: 170,2°
Střední anomálie: 1,8°
Epocha: 2020 JAN 24 17:30:39
orbit plot

NeinteraktivnĂ­ graf | InteraktivnĂ­ graf

position vs time
speed and acceleration