🇳🇴 🇬🇧 🇩🇪 🇨🇿 🇫🇮

Meteor Byrumin yllä 2020-01-24 17:30:39 UTC

KML-tiedosto  |  Interaktiivinen kartta

Kartta näyttää meteorin suuntahavainnot. Vaaleammat viivat näyttävät suunnat havaintoasemilta meteorin ilmestyessä, ja tummemmat viivat näyttävät, missä se viimeksi nähtiin. Sininen nuoli näyttää meteorin näkyvän lennon.

static map
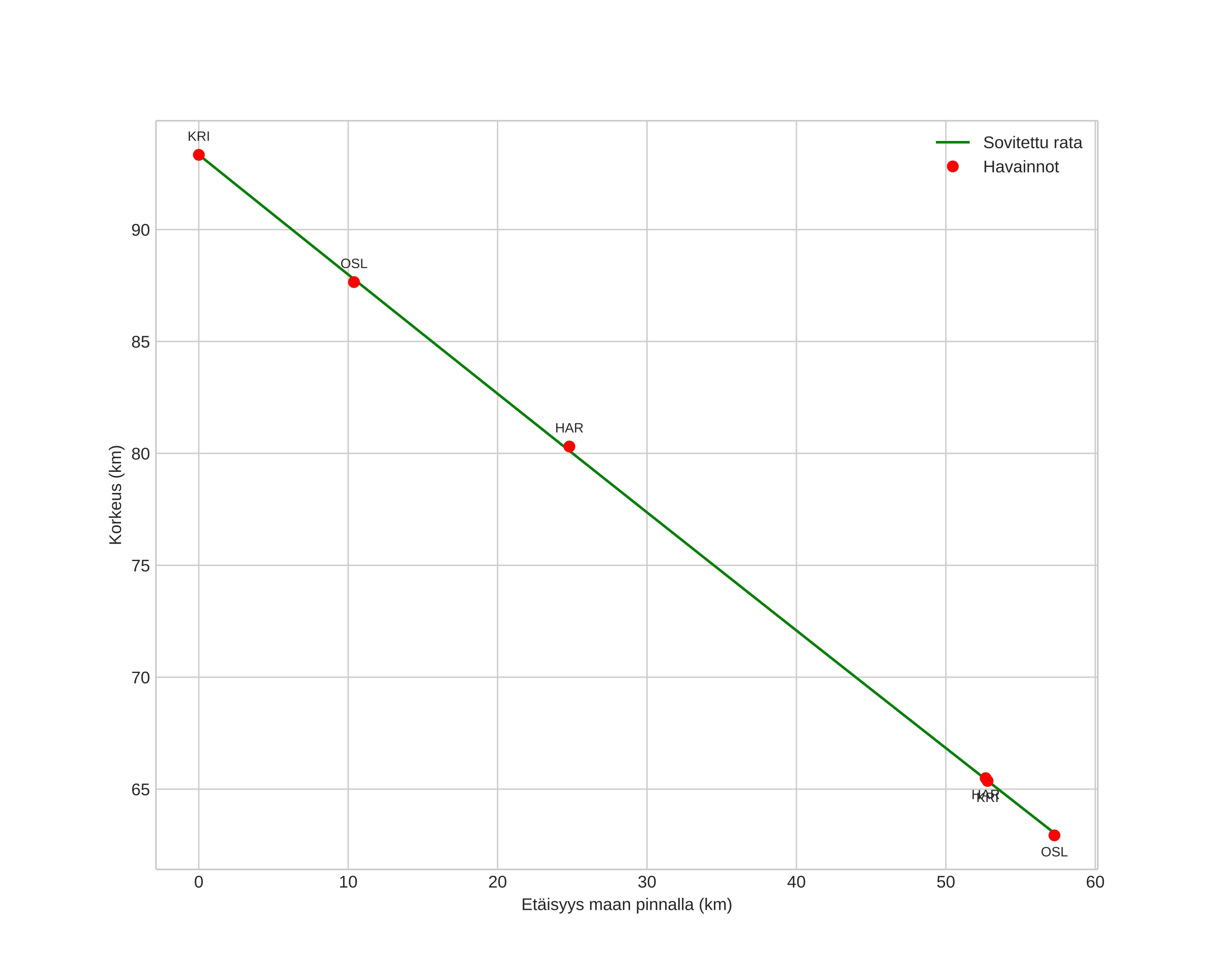
height profile
Meteorin ilmakehärata:
Alkukorkeus: 94,0 km
Loppukorkeus: 66,5 km
Alkupiste: 57,924N 10,495E
Loppupiste: 57,450N 10,851E
Suunta: 158,0°
Kallistuskulma: 25,8°
Tulonopeus: 35,1 km/s
Radiantin R,A,: 16:45 (251,4°)
Radiantin Dekl,: 52,4°
Meteoriparvi: Sporadinen
Meteoroidin rataelementit:
Perihelietäisyys: 0,979 AU
Eksentrisyys: 0,623
Inklinaatio: 56,8°
Nousevan solmun pituus: 303,9°
Perihelin argumentti: 170,2°
Keskianomalia: 1,8°
Epookki: 2020 JAN 24 17:30:39
orbit plot

Ei-interaktiivinen kuvaaja | Interaktiivinen kuvaaja

position vs time
speed and acceleration