🇳🇴 🇬🇧 🇩🇪 🇨🇿 🇫🇮

Meteor, poloha: Farnes 2020-02-02 22:12:07 UTC

Soubor KML  |  InteraktivnĂ­ mapa

Mapa zobrazuje dráhy meteoru. Světlejší čáry ukazují směry od pozorovacích stanic při objevení se meteoru a tmavší čáry, kde byl naposledy viděn. Modrá šipka značí viditelnou dráhu meteoru.

static map
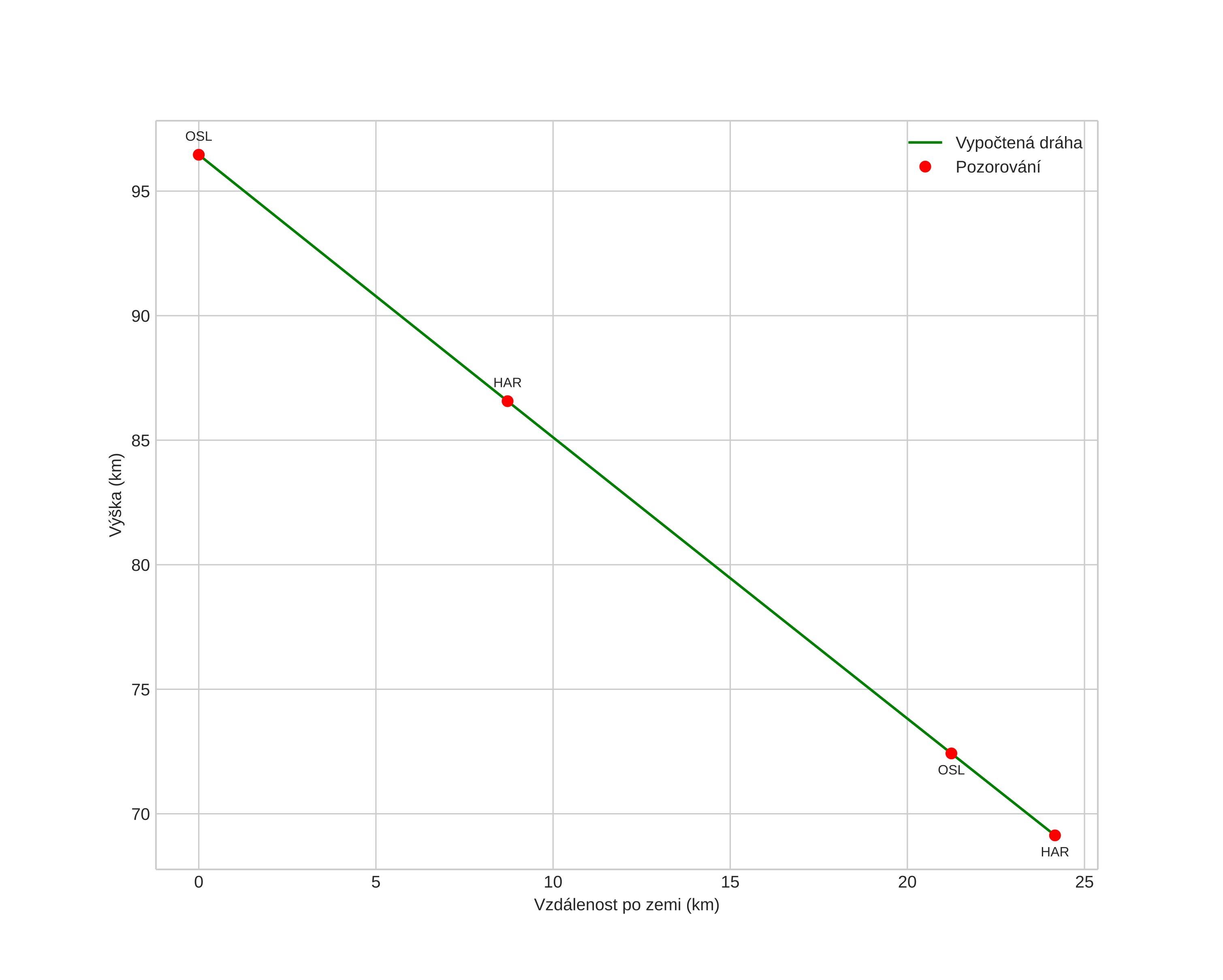
height profile
Atmosférická dráha meteoru:
Počáteční výška: 95,9 km
Konečná výška: 68,5 km
Počáteční poloha: 61,543N 7,805E
Konečná poloha: 61,320N 7,782E
Směr: 182,8°
Sklon: 47,9°
VstupnĂ­ rychlost: 31,3 km/s
Rektascenze radiantu: 19:10 (287,6°)
Deklinace radiantu: 74,9°
MeteorickĂ˝ roj: sporadickĂ˝
Elementy dráhy meteoroidu:
Vzdálenost v periheliu: 0,985 AU
Excentricita: 1,283
Sklon dráhy: 39,4°
Délka vzestupného uzlu: 313,3°
Argument perihelia: 183,4°
Střední anomálie: -0,3°
Epocha: 2020 FEB 02 22:12:07
orbit plot

NeinteraktivnĂ­ graf | InteraktivnĂ­ graf

position vs time
speed and acceleration