🇳🇴 🇬🇧 🇩🇪 🇨🇿 🇫🇮

Meteor Farnesin yllä 2020-02-02 22:12:07 UTC

KML-tiedosto  |  Interaktiivinen kartta

Kartta näyttää meteorin suuntahavainnot. Vaaleammat viivat näyttävät suunnat havaintoasemilta meteorin ilmestyessä, ja tummemmat viivat näyttävät, missä se viimeksi nähtiin. Sininen nuoli näyttää meteorin näkyvän lennon.

static map
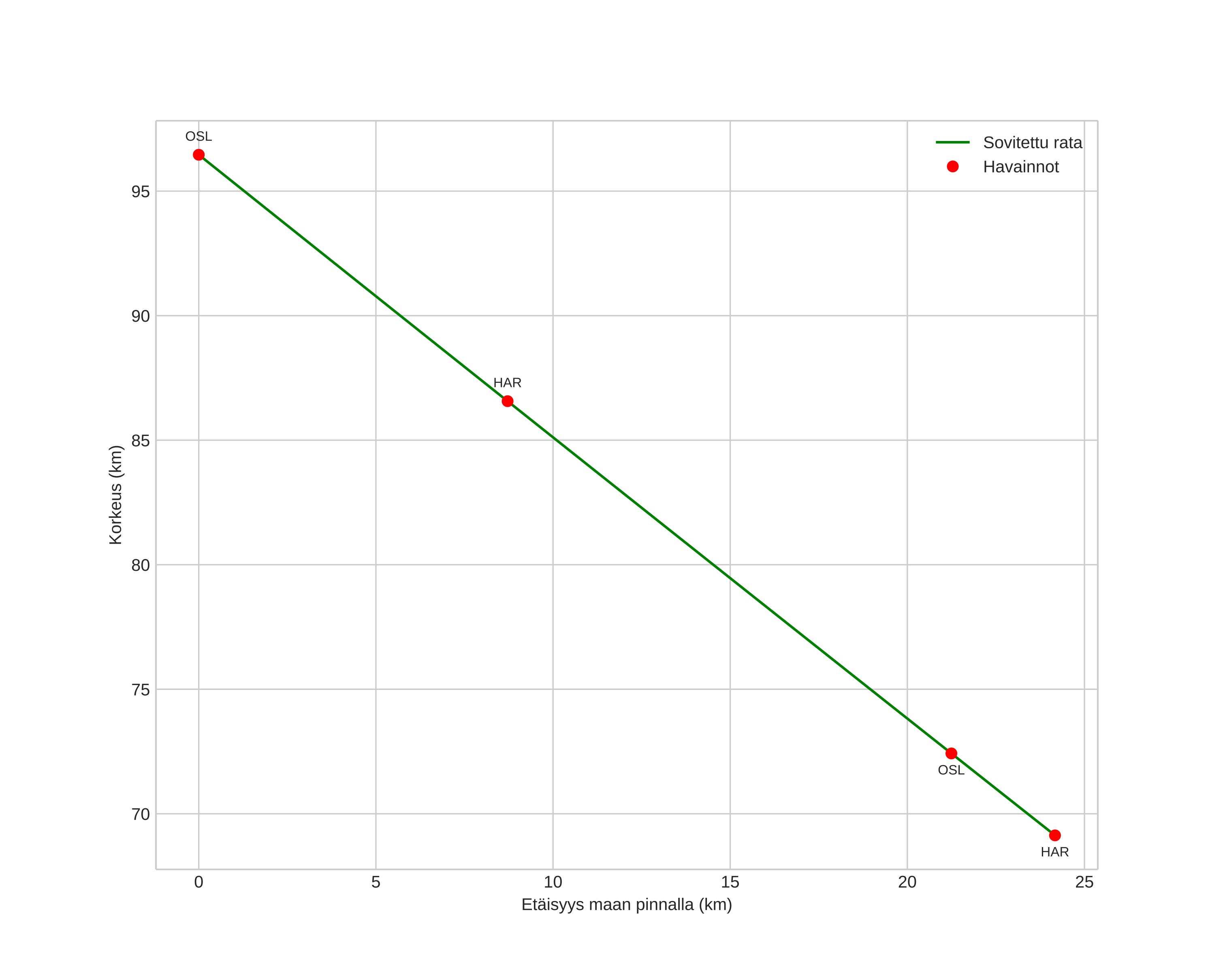
height profile
Meteorin ilmakehärata:
Alkukorkeus: 95,9 km
Loppukorkeus: 68,5 km
Alkupiste: 61,543N 7,805E
Loppupiste: 61,320N 7,782E
Suunta: 182,8°
Kallistuskulma: 47,9°
Tulonopeus: 31,3 km/s
Radiantin R,A,: 19:10 (287,6°)
Radiantin Dekl,: 74,9°
Meteoriparvi: Sporadinen
Meteoroidin rataelementit:
Perihelietäisyys: 0,985 AU
Eksentrisyys: 1,283
Inklinaatio: 39,4°
Nousevan solmun pituus: 313,3°
Perihelin argumentti: 183,4°
Keskianomalia: -0,3°
Epookki: 2020 FEB 02 22:12:07
orbit plot

Ei-interaktiivinen kuvaaja | Interaktiivinen kuvaaja

position vs time
speed and acceleration