🇳🇴 🇬🇧 🇩🇪 🇨🇿 🇫🇮

Meteor, poloha: Nesoddtangen 2020-02-06 17:59:27 UTC

Soubor KML  |  InteraktivnĂ­ mapa

Mapa zobrazuje dráhy meteoru. Světlejší čáry ukazují směry od pozorovacích stanic při objevení se meteoru a tmavší čáry, kde byl naposledy viděn. Modrá šipka značí viditelnou dráhu meteoru.

static map
height profile
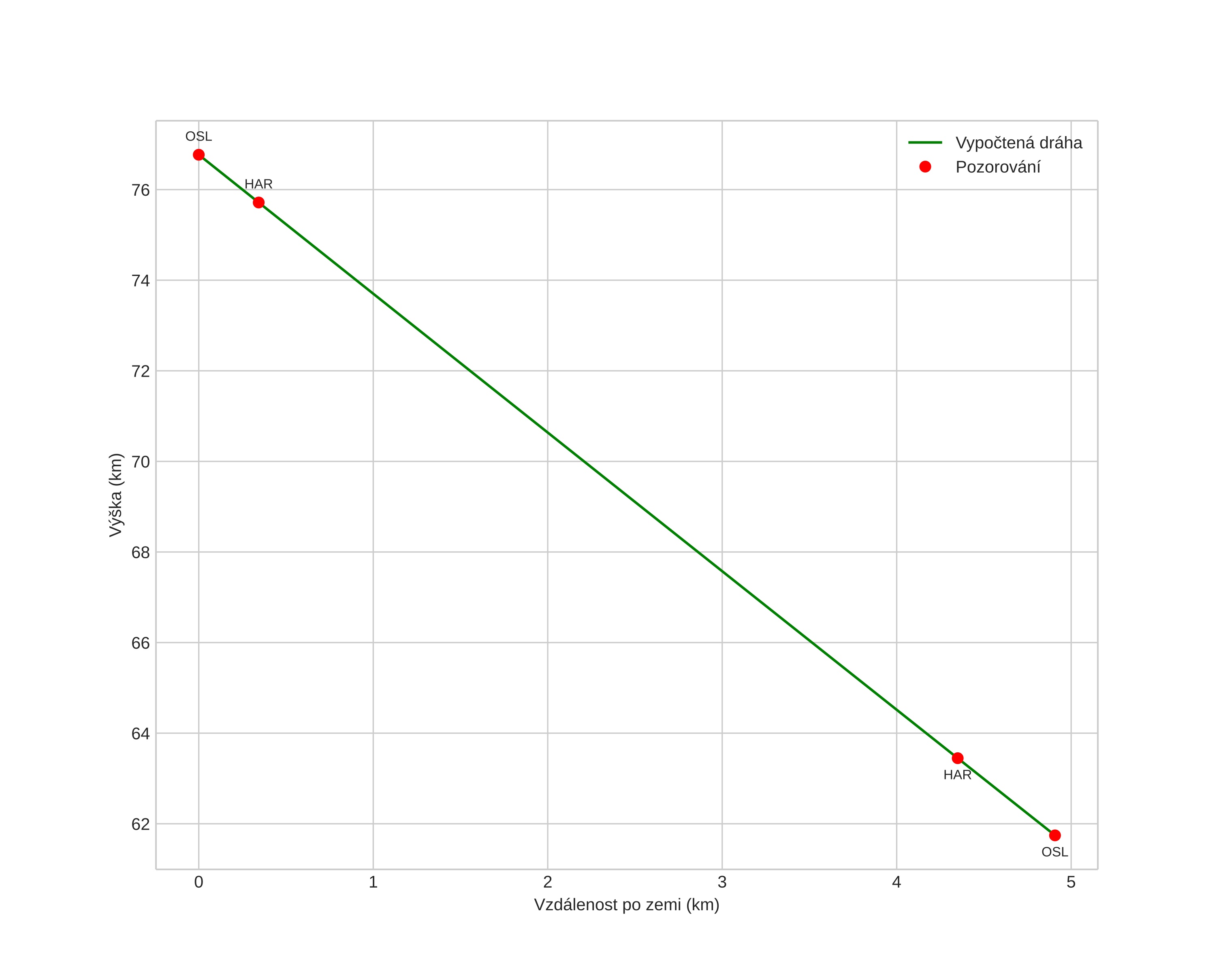
Atmosférická dráha meteoru:
Počáteční výška: 80,4 km
Konečná výška: 63,3 km
Počáteční poloha: 59,897N 10,750E
Konečná poloha: 59,858N 10,678E
Směr: 222,9°
Sklon: 71,0°
VstupnĂ­ rychlost: 20,1 km/s
Rektascenze radiantu: 06:36 (99,2°)
Deklinace radiantu: 70,3°
MeteorickĂ˝ roj: sporadickĂ˝
Elementy dráhy meteoroidu:
Vzdálenost v periheliu: 0,943 AU
Excentricita: 0,839
Sklon dráhy: 17,8°
Délka vzestupného uzlu: 317,1°
Argument perihelia: 205,2°
Střední anomálie: 358,8°
Epocha: 2020 FEB 06 17:59:27
orbit plot

NeinteraktivnĂ­ graf | InteraktivnĂ­ graf

position vs time
speed and acceleration