🇳🇴 🇬🇧 🇩🇪 🇨🇿 🇫🇮

Meteor Nesoddtangenin yllä 2020-02-06 17:59:27 UTC

KML-tiedosto  |  Interaktiivinen kartta

Kartta näyttää meteorin suuntahavainnot. Vaaleammat viivat näyttävät suunnat havaintoasemilta meteorin ilmestyessä, ja tummemmat viivat näyttävät, missä se viimeksi nähtiin. Sininen nuoli näyttää meteorin näkyvän lennon.

static map
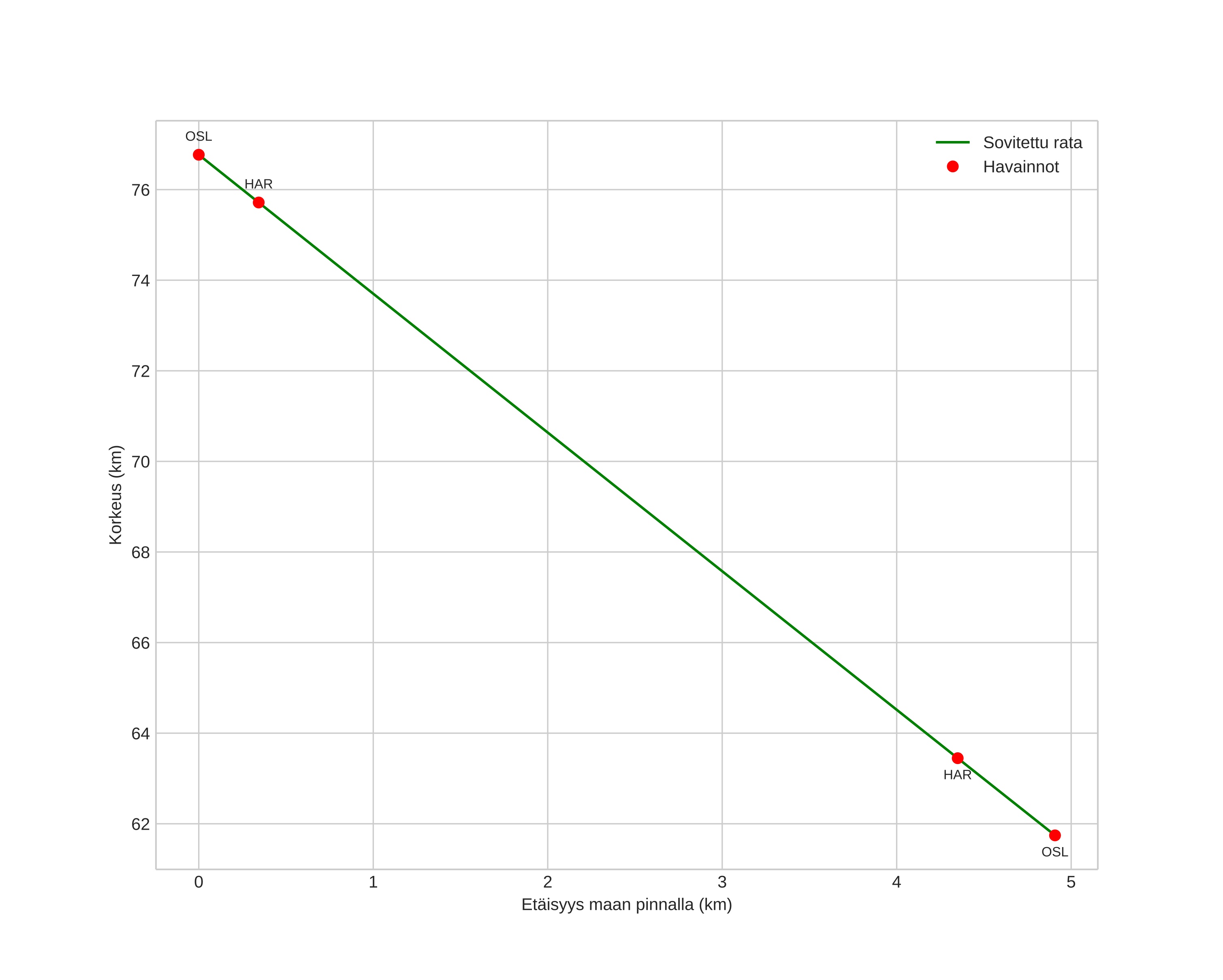
height profile
Meteorin ilmakehärata:
Alkukorkeus: 80,4 km
Loppukorkeus: 63,3 km
Alkupiste: 59,897N 10,750E
Loppupiste: 59,858N 10,678E
Suunta: 222,9°
Kallistuskulma: 71,0°
Tulonopeus: 20,1 km/s
Radiantin R,A,: 06:36 (99,2°)
Radiantin Dekl,: 70,3°
Meteoriparvi: Sporadinen
Meteoroidin rataelementit:
Perihelietäisyys: 0,943 AU
Eksentrisyys: 0,839
Inklinaatio: 17,8°
Nousevan solmun pituus: 317,1°
Perihelin argumentti: 205,2°
Keskianomalia: 358,8°
Epookki: 2020 FEB 06 17:59:27
orbit plot

Ei-interaktiivinen kuvaaja | Interaktiivinen kuvaaja

position vs time
speed and acceleration