🇳🇴 🇬🇧 🇩🇪 🇨🇿 🇫🇮

Meteor, poloha: Mora 2020-02-07 17:08:20 UTC

Soubor KML  |  InteraktivnĂ­ mapa

Mapa zobrazuje dráhy meteoru. Světlejší čáry ukazují směry od pozorovacích stanic při objevení se meteoru a tmavší čáry, kde byl naposledy viděn. Modrá šipka značí viditelnou dráhu meteoru.

static map
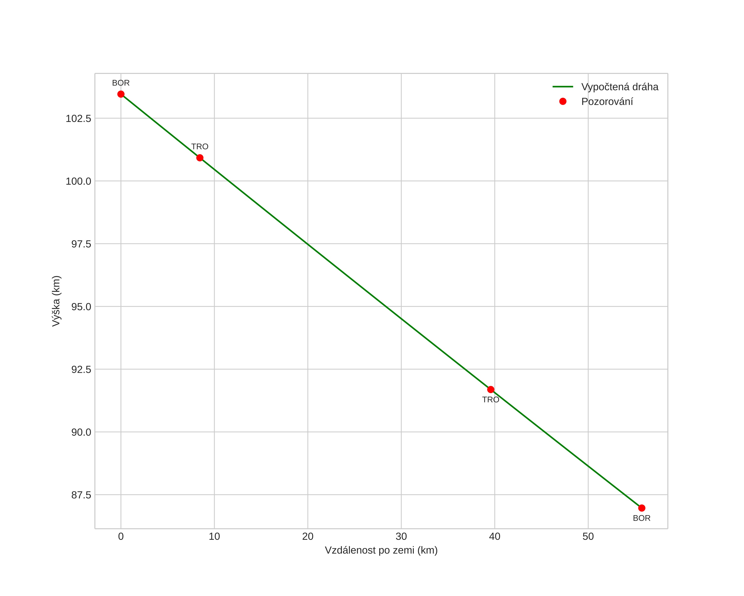
height profile
Atmosférická dráha meteoru:
Počáteční výška: 103,7 km
Konečná výška: 87,2 km
Počáteční poloha: 61,444N 14,453E
Konečná poloha: 60,943N 14,539E
Směr: 175,2°
Sklon: 16,5°
VstupnĂ­ rychlost: 52,2 km/s
Rektascenze radiantu: 15:41 (235,3°)
Deklinace radiantu: 43,9°
MeteorickĂ˝ roj: sporadickĂ˝
Elementy dráhy meteoroidu:
Vzdálenost v periheliu: 0,970 AU
Excentricita: 1,277
Sklon dráhy: 82,2°
Délka vzestupného uzlu: 318,1°
Argument perihelia: 194,0°
Střední anomálie: -1,4°
Epocha: 2020 FEB 07 17:08:20
orbit plot

NeinteraktivnĂ­ graf | InteraktivnĂ­ graf

position vs time
speed and acceleration