🇳🇴 🇬🇧 🇩🇪 🇨🇿 🇫🇮

Meteor Moran yllä 2020-02-07 17:08:20 UTC

KML-tiedosto  |  Interaktiivinen kartta

Kartta näyttää meteorin suuntahavainnot. Vaaleammat viivat näyttävät suunnat havaintoasemilta meteorin ilmestyessä, ja tummemmat viivat näyttävät, missä se viimeksi nähtiin. Sininen nuoli näyttää meteorin näkyvän lennon.

static map
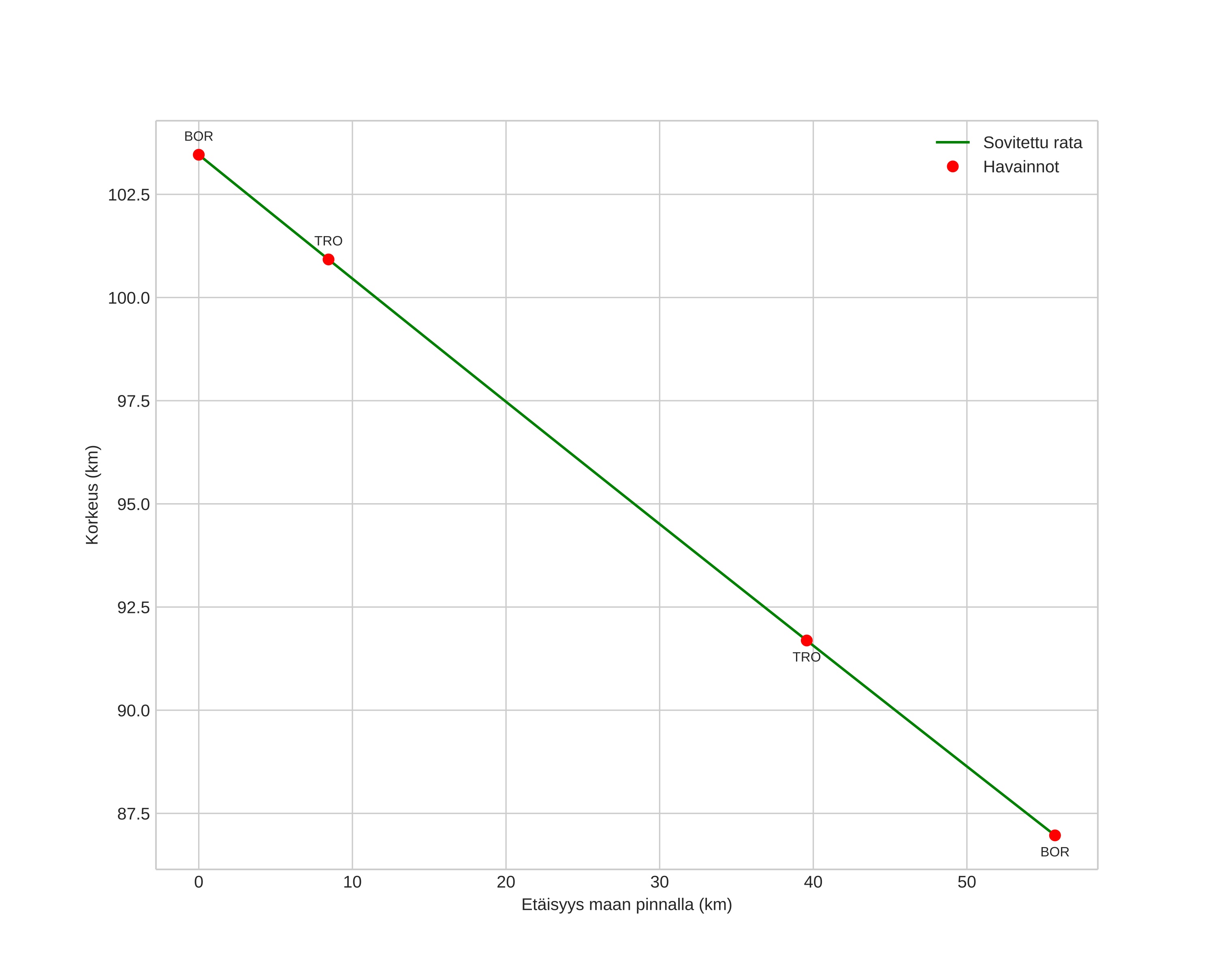
height profile
Meteorin ilmakehärata:
Alkukorkeus: 103,7 km
Loppukorkeus: 87,2 km
Alkupiste: 61,444N 14,453E
Loppupiste: 60,943N 14,539E
Suunta: 175,2°
Kallistuskulma: 16,5°
Tulonopeus: 52,2 km/s
Radiantin R,A,: 15:41 (235,3°)
Radiantin Dekl,: 43,9°
Meteoriparvi: Sporadinen
Meteoroidin rataelementit:
Perihelietäisyys: 0,970 AU
Eksentrisyys: 1,277
Inklinaatio: 82,2°
Nousevan solmun pituus: 318,1°
Perihelin argumentti: 194,0°
Keskianomalia: -1,4°
Epookki: 2020 FEB 07 17:08:20
orbit plot

Ei-interaktiivinen kuvaaja | Interaktiivinen kuvaaja

position vs time
speed and acceleration