🇳🇴 🇬🇧 🇩🇪 🇨🇿 🇫🇮

Meteor, poloha: Skjærhalden 2020-02-17 21:00:03 UTC

Soubor KML  |  InteraktivnĂ­ mapa

Mapa zobrazuje dráhy meteoru. Světlejší čáry ukazují směry od pozorovacích stanic při objevení se meteoru a tmavší čáry, kde byl naposledy viděn. Modrá šipka značí viditelnou dráhu meteoru.

static map
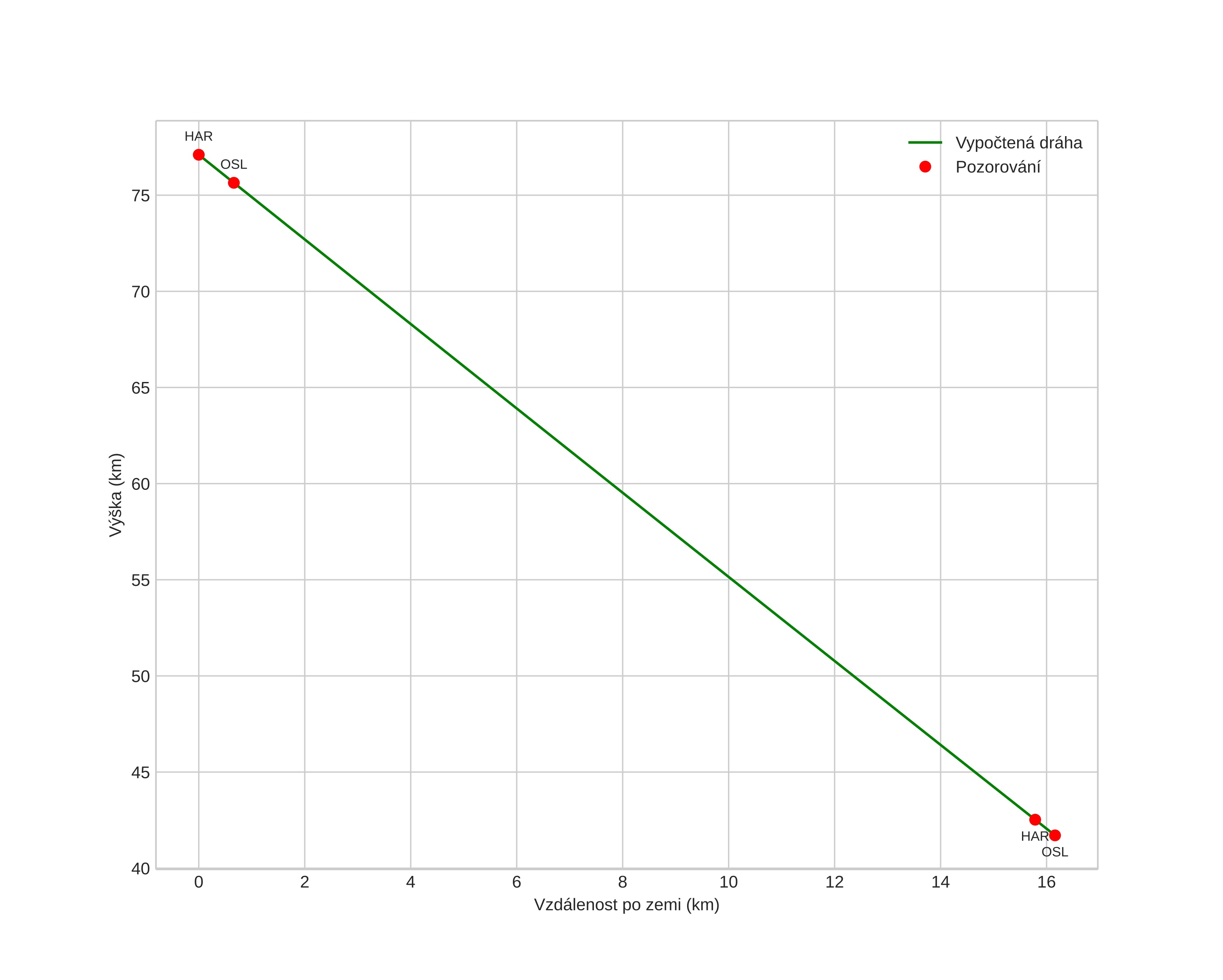
height profile
Atmosférická dráha meteoru:
Počáteční výška: 77,9 km
Konečná výška: 41,2 km
Počáteční poloha: 58,956N 10,838E
Konečná poloha: 59,058N 11,066E
Směr: 49,1°
Sklon: 64,8°
VstupnĂ­ rychlost: 13,2 km/s
Rektascenze radiantu: 05:29 (82,5°)
Deklinace radiantu: 32,1°
MeteorickĂ˝ roj: sporadickĂ˝
Elementy dráhy meteoroidu:
Vzdálenost v periheliu: 0,980 AU
Excentricita: 0,513
Sklon dráhy: 1,7°
Délka vzestupného uzlu: 328,3°
Argument perihelia: 192,5°
Střední anomálie: 356,5°
Epocha: 2020 FEB 17 21:00:03
orbit plot

NeinteraktivnĂ­ graf | InteraktivnĂ­ graf

position vs time
speed and acceleration