🇳🇴 🇬🇧 🇩🇪 🇨🇿 🇫🇮

Meteor Skjærhaldenin yllä 2020-02-17 21:00:03 UTC

KML-tiedosto  |  Interaktiivinen kartta

Kartta näyttää meteorin suuntahavainnot. Vaaleammat viivat näyttävät suunnat havaintoasemilta meteorin ilmestyessä, ja tummemmat viivat näyttävät, missä se viimeksi nähtiin. Sininen nuoli näyttää meteorin näkyvän lennon.

static map
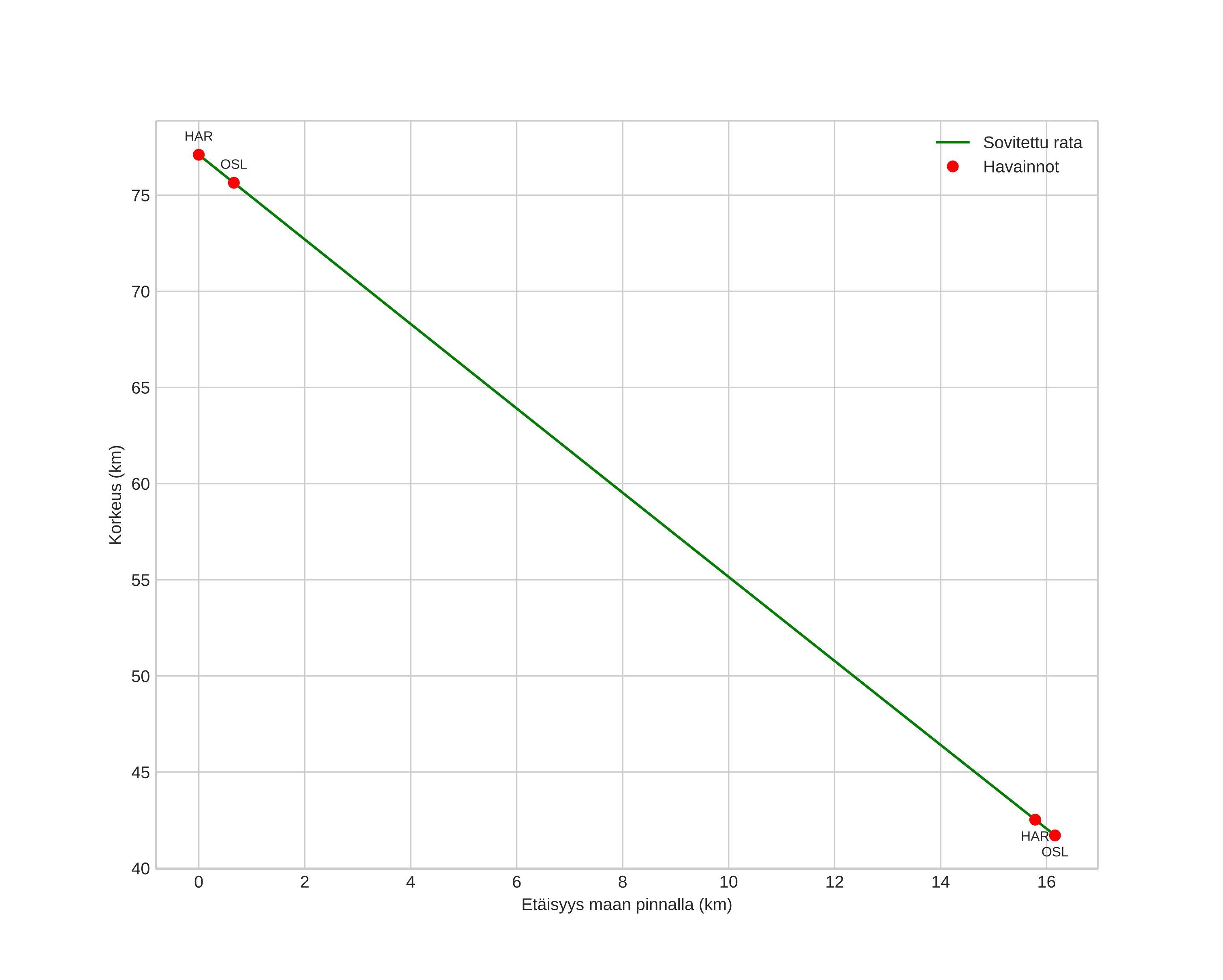
height profile
Meteorin ilmakehärata:
Alkukorkeus: 77,9 km
Loppukorkeus: 41,2 km
Alkupiste: 58,956N 10,838E
Loppupiste: 59,058N 11,066E
Suunta: 49,1°
Kallistuskulma: 64,8°
Tulonopeus: 13,2 km/s
Radiantin R,A,: 05:29 (82,5°)
Radiantin Dekl,: 32,1°
Meteoriparvi: Sporadinen
Meteoroidin rataelementit:
Perihelietäisyys: 0,980 AU
Eksentrisyys: 0,513
Inklinaatio: 1,7°
Nousevan solmun pituus: 328,3°
Perihelin argumentti: 192,5°
Keskianomalia: 356,5°
Epookki: 2020 FEB 17 21:00:03
orbit plot

Ei-interaktiivinen kuvaaja | Interaktiivinen kuvaaja

position vs time
speed and acceleration