🇳🇴 🇬🇧 🇩🇪 🇨🇿 🇫🇮

Meteor, poloha: Kirkenær 2020-02-17 23:52:43 UTC

Soubor KML  |  InteraktivnĂ­ mapa

Mapa zobrazuje dráhy meteoru. Světlejší čáry ukazují směry od pozorovacích stanic při objevení se meteoru a tmavší čáry, kde byl naposledy viděn. Modrá šipka značí viditelnou dráhu meteoru.

static map
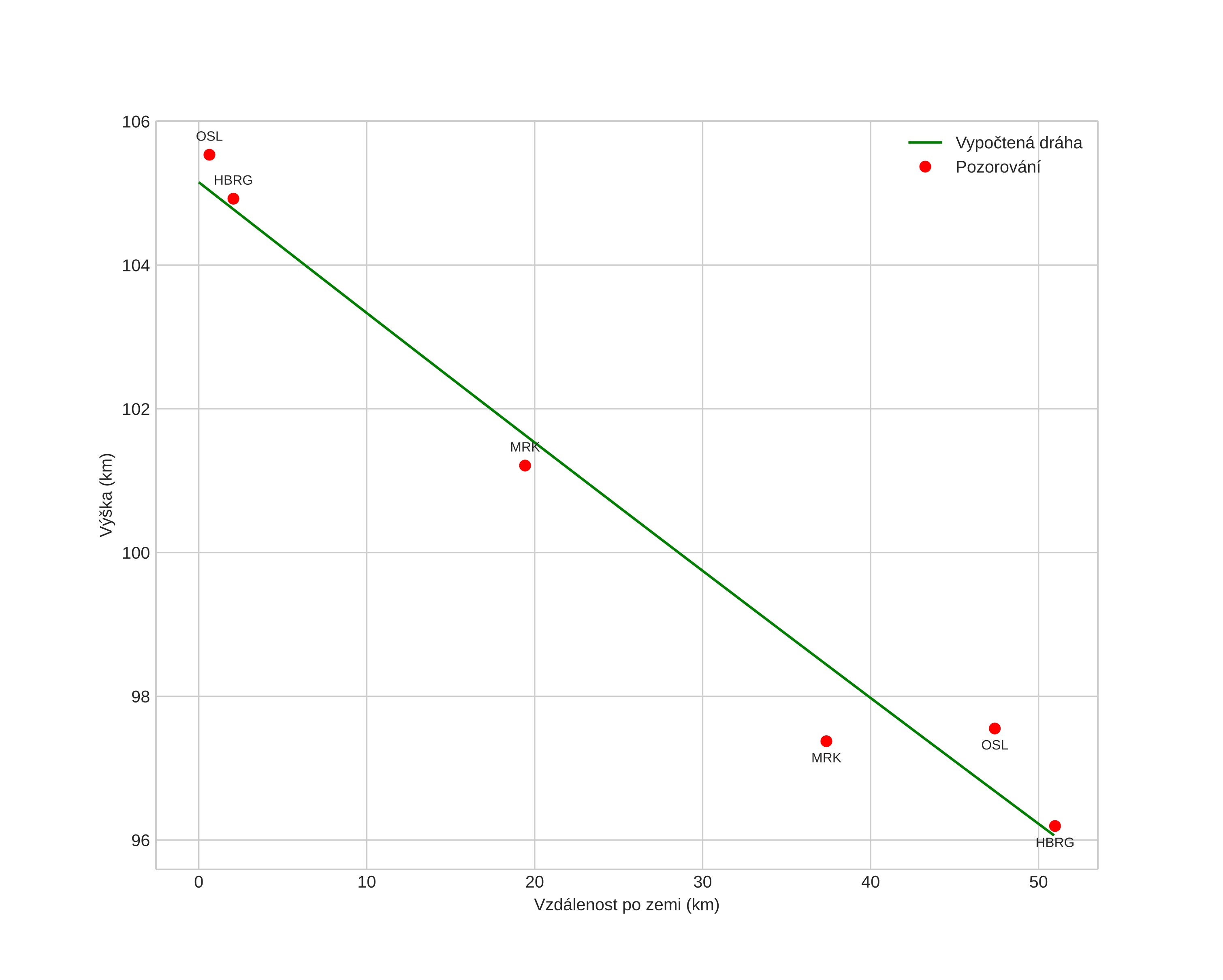
height profile
Atmosférická dráha meteoru:
Počáteční výška: 106,7 km
Konečná výška: 100,3 km
Počáteční poloha: 60,262N 13,284E
Konečná poloha: 60,331N 12,331E
Směr: 278,7°
Sklon: 6,9°
VstupnĂ­ rychlost: 57,6 km/s
Rektascenze radiantu: 15:52 (238,0°)
Deklinace radiantu: 0,9°
MeteorickĂ˝ roj: sporadickĂ˝
Elementy dráhy meteoroidu:
Vzdálenost v periheliu: 0,915 AU
Excentricita: 0,078
Sklon dráhy: 138,6°
Délka vzestupného uzlu: 328,5°
Argument perihelia: 270,6°
Střední anomálie: 278,3°
Epocha: 2020 FEB 17 23:52:43
orbit plot

NeinteraktivnĂ­ graf | InteraktivnĂ­ graf

position vs time
speed and acceleration