🇳🇴 🇬🇧 🇩🇪 🇨🇿 🇫🇮

Meteor Kirkenærin yllä 2020-02-17 23:52:43 UTC

KML-tiedosto  |  Interaktiivinen kartta

Kartta näyttää meteorin suuntahavainnot. Vaaleammat viivat näyttävät suunnat havaintoasemilta meteorin ilmestyessä, ja tummemmat viivat näyttävät, missä se viimeksi nähtiin. Sininen nuoli näyttää meteorin näkyvän lennon.

static map
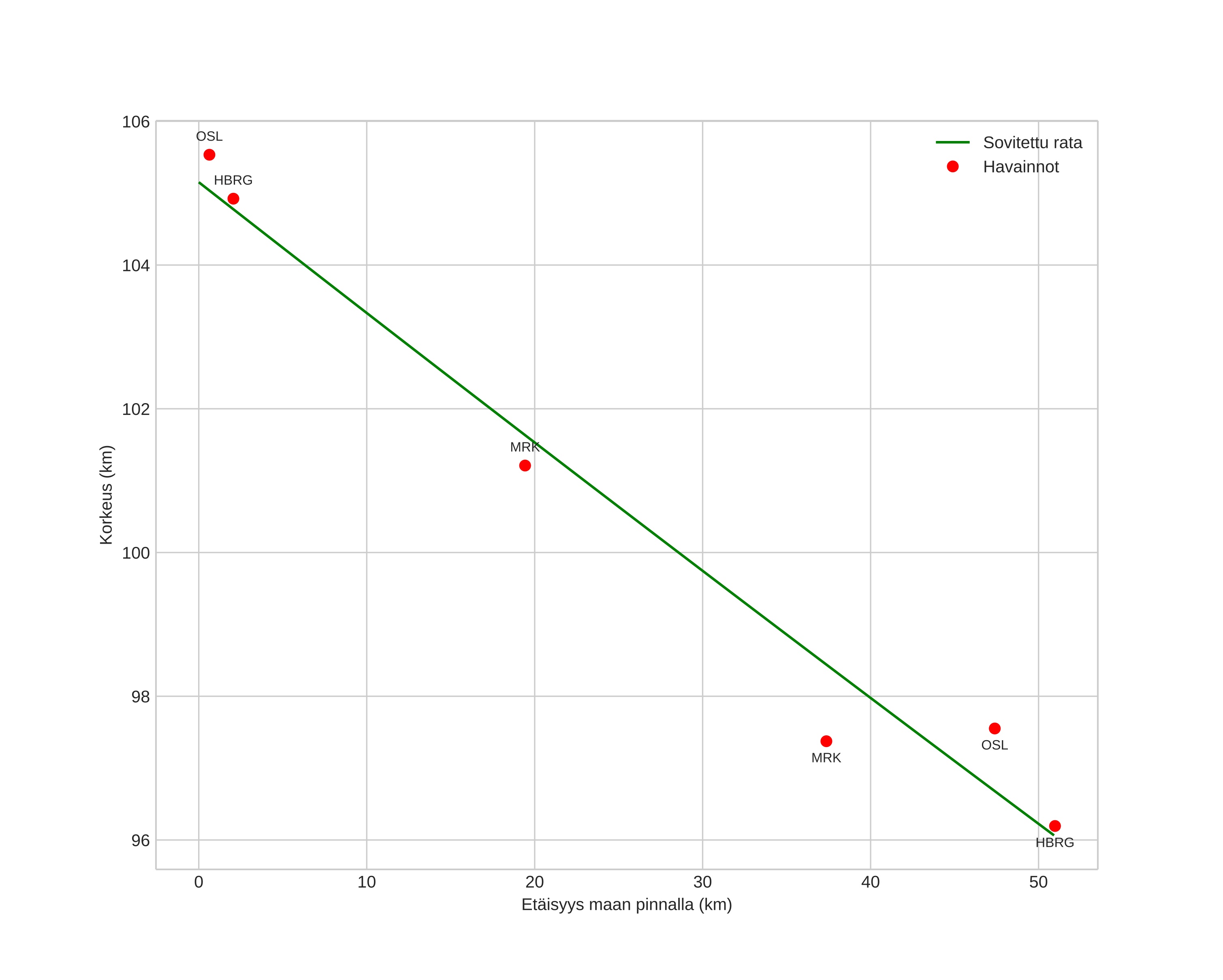
height profile
Meteorin ilmakehärata:
Alkukorkeus: 106,7 km
Loppukorkeus: 100,3 km
Alkupiste: 60,262N 13,284E
Loppupiste: 60,331N 12,331E
Suunta: 278,7°
Kallistuskulma: 6,9°
Tulonopeus: 57,6 km/s
Radiantin R,A,: 15:52 (238,0°)
Radiantin Dekl,: 0,9°
Meteoriparvi: Sporadinen
Meteoroidin rataelementit:
Perihelietäisyys: 0,915 AU
Eksentrisyys: 0,078
Inklinaatio: 138,6°
Nousevan solmun pituus: 328,5°
Perihelin argumentti: 270,6°
Keskianomalia: 278,3°
Epookki: 2020 FEB 17 23:52:43
orbit plot

Ei-interaktiivinen kuvaaja | Interaktiivinen kuvaaja

position vs time
speed and acceleration