🇳🇴 🇬🇧 🇩🇪 🇨🇿 🇫🇮

Meteor, poloha: Kiruna 2020-02-27 18:16:43 UTC

Soubor KML  |  InteraktivnĂ­ mapa

Mapa zobrazuje dráhy meteoru. Světlejší čáry ukazují směry od pozorovacích stanic při objevení se meteoru a tmavší čáry, kde byl naposledy viděn. Modrá šipka značí viditelnou dráhu meteoru.

static map
height profile
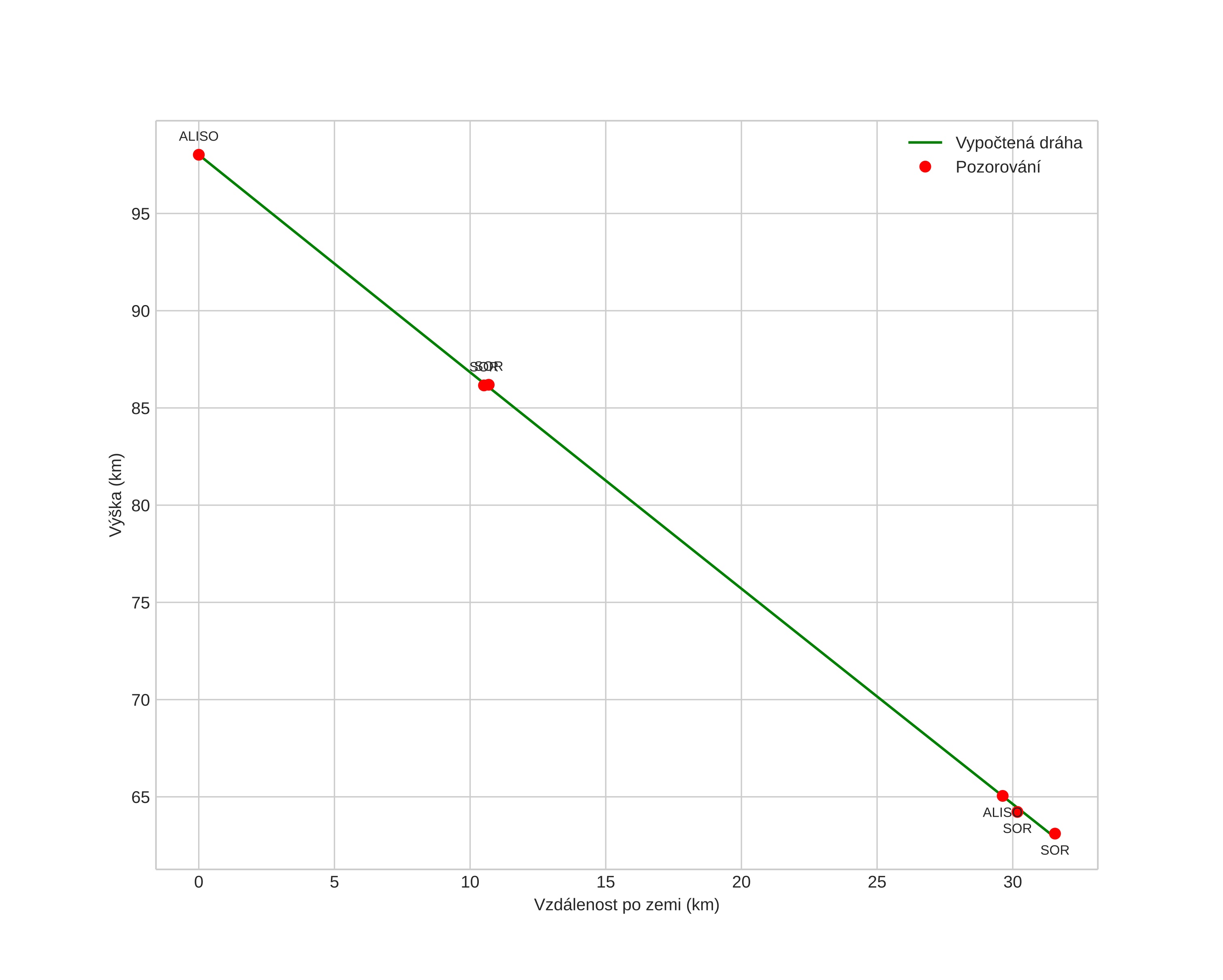
Atmosférická dráha meteoru:
Počáteční výška: 100,0 km
Konečná výška: 65,1 km
Počáteční poloha: 68,281N 20,496E
Konečná poloha: 68,003N 20,769E
Směr: 159,8°
Sklon: 46,7°
VstupnĂ­ rychlost: 24,5 km/s
Rektascenze radiantu: 20:25 (306,4°)
Deklinace radiantu: 63,4°
MeteorickĂ˝ roj: sporadickĂ˝
Elementy dráhy meteoroidu:
Vzdálenost v periheliu: 0,967 AU
Excentricita: 0,737
Sklon dráhy: 32,8°
Délka vzestupného uzlu: 338,3°
Argument perihelia: 160,6°
Střední anomálie: 2,0°
Epocha: 2020 FEB 27 18:16:43
orbit plot

NeinteraktivnĂ­ graf | InteraktivnĂ­ graf

position vs time
speed and acceleration