🇳🇴 🇬🇧 🇩🇪 🇨🇿 🇫🇮

Meteor Kirunan yllä 2020-02-27 18:16:43 UTC

KML-tiedosto  |  Interaktiivinen kartta

Kartta näyttää meteorin suuntahavainnot. Vaaleammat viivat näyttävät suunnat havaintoasemilta meteorin ilmestyessä, ja tummemmat viivat näyttävät, missä se viimeksi nähtiin. Sininen nuoli näyttää meteorin näkyvän lennon.

static map
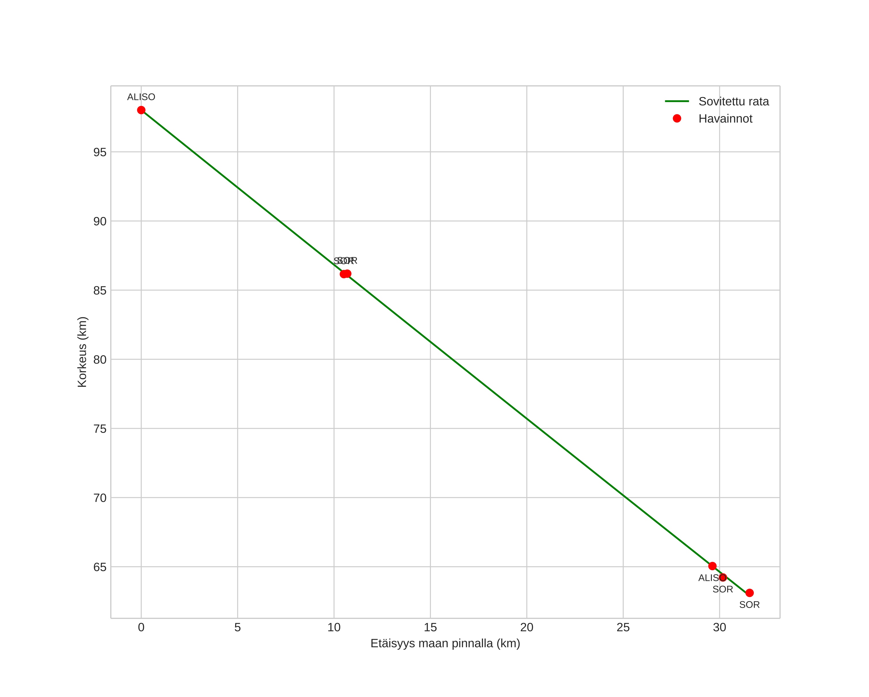
height profile
Meteorin ilmakehärata:
Alkukorkeus: 100,0 km
Loppukorkeus: 65,1 km
Alkupiste: 68,281N 20,496E
Loppupiste: 68,003N 20,769E
Suunta: 159,8°
Kallistuskulma: 46,7°
Tulonopeus: 24,5 km/s
Radiantin R,A,: 20:25 (306,4°)
Radiantin Dekl,: 63,4°
Meteoriparvi: Sporadinen
Meteoroidin rataelementit:
Perihelietäisyys: 0,967 AU
Eksentrisyys: 0,737
Inklinaatio: 32,8°
Nousevan solmun pituus: 338,3°
Perihelin argumentti: 160,6°
Keskianomalia: 2,0°
Epookki: 2020 FEB 27 18:16:43
orbit plot

Ei-interaktiivinen kuvaaja | Interaktiivinen kuvaaja

position vs time
speed and acceleration