🇳🇴 🇬🇧 🇩🇪 🇨🇿 🇫🇮

Meteor, poloha: Sandvika 2020-02-28 05:00:25 UTC

Soubor KML  |  InteraktivnĂ­ mapa

Mapa zobrazuje dráhy meteoru. Světlejší čáry ukazují směry od pozorovacích stanic při objevení se meteoru a tmavší čáry, kde byl naposledy viděn. Modrá šipka značí viditelnou dráhu meteoru.

static map
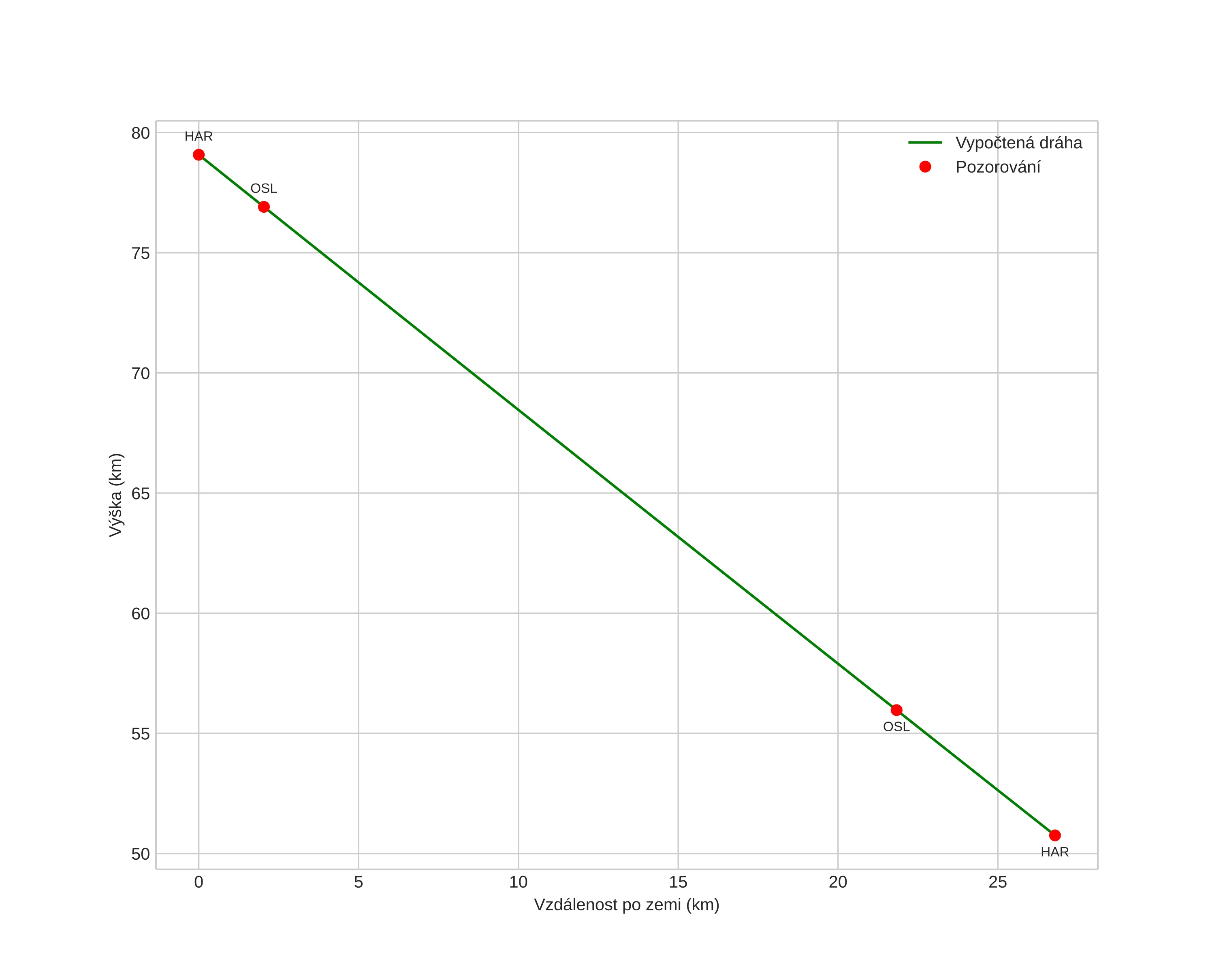
height profile
Atmosférická dráha meteoru:
Počáteční výška: 80,7 km
Konečná výška: 52,1 km
Počáteční poloha: 59,996N 10,128E
Konečná poloha: 59,859N 10,524E
Směr: 124,5°
Sklon: 46,9°
VstupnĂ­ rychlost: 17,8 km/s
Rektascenze radiantu: 09:56 (149,1°)
Deklinace radiantu: 51,1°
MeteorickĂ˝ roj: sporadickĂ˝
Elementy dráhy meteoroidu:
Vzdálenost v periheliu: 0,901 AU
Excentricita: 0,612
Sklon dráhy: 13,2°
Délka vzestupného uzlu: 338,8°
Argument perihelia: 220,3°
Střední anomálie: 351,8°
Epocha: 2020 FEB 28 05:00:25
orbit plot

NeinteraktivnĂ­ graf | InteraktivnĂ­ graf

position vs time
speed and acceleration