🇳🇴 🇬🇧 🇩🇪 🇨🇿 🇫🇮

Meteor Sandvikan yllä 2020-02-28 05:00:25 UTC

KML-tiedosto  |  Interaktiivinen kartta

Kartta näyttää meteorin suuntahavainnot. Vaaleammat viivat näyttävät suunnat havaintoasemilta meteorin ilmestyessä, ja tummemmat viivat näyttävät, missä se viimeksi nähtiin. Sininen nuoli näyttää meteorin näkyvän lennon.

static map
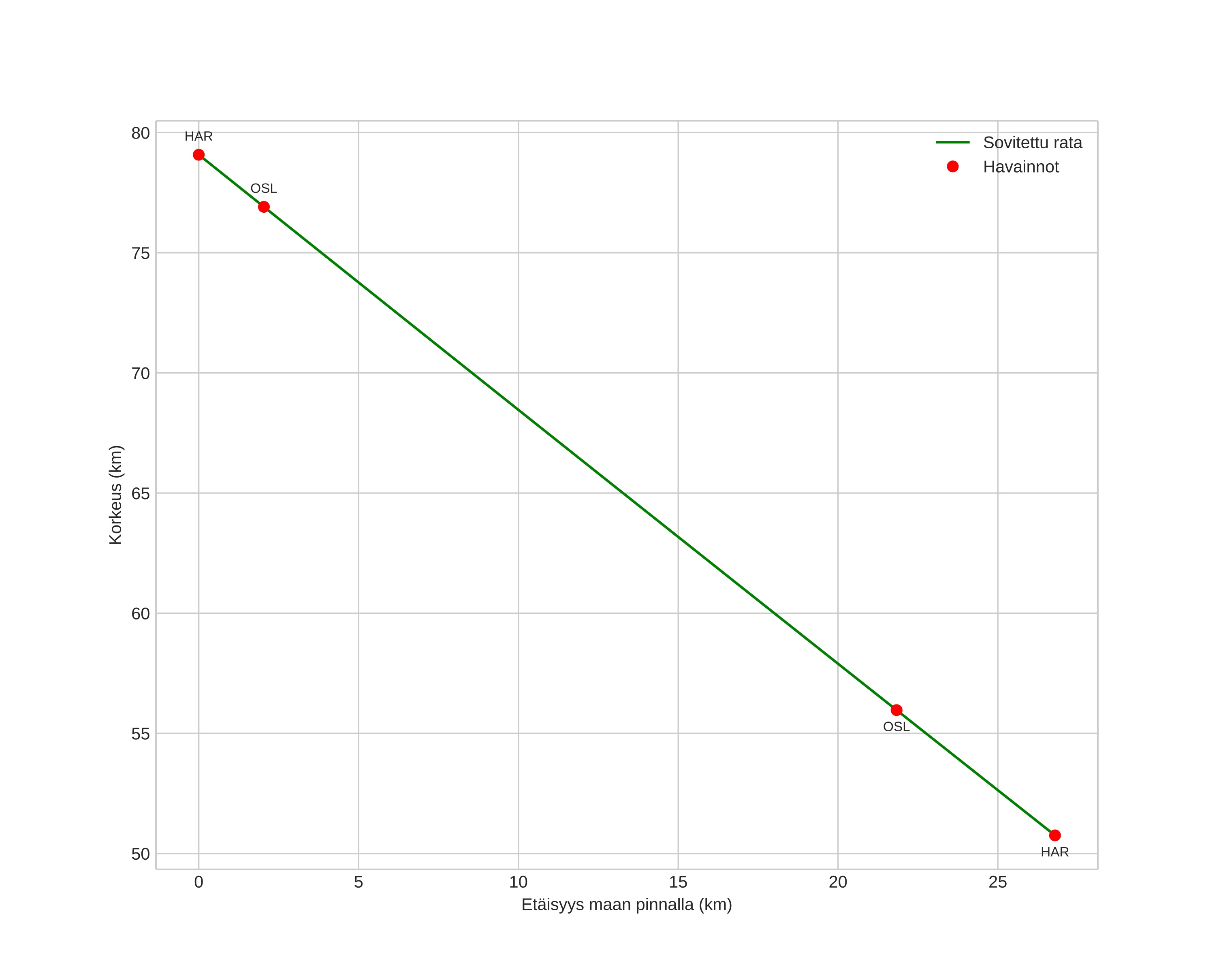
height profile
Meteorin ilmakehärata:
Alkukorkeus: 80,7 km
Loppukorkeus: 52,1 km
Alkupiste: 59,996N 10,128E
Loppupiste: 59,859N 10,524E
Suunta: 124,5°
Kallistuskulma: 46,9°
Tulonopeus: 17,8 km/s
Radiantin R,A,: 09:56 (149,1°)
Radiantin Dekl,: 51,1°
Meteoriparvi: Sporadinen
Meteoroidin rataelementit:
Perihelietäisyys: 0,901 AU
Eksentrisyys: 0,612
Inklinaatio: 13,2°
Nousevan solmun pituus: 338,8°
Perihelin argumentti: 220,3°
Keskianomalia: 351,8°
Epookki: 2020 FEB 28 05:00:25
orbit plot

Ei-interaktiivinen kuvaaja | Interaktiivinen kuvaaja

position vs time
speed and acceleration