🇳🇴 🇬🇧 🇩🇪 🇨🇿 🇫🇮

Meteor, poloha: Charlottenberg 2020-02-28 20:58:46 UTC

Soubor KML  |  InteraktivnĂ­ mapa

Mapa zobrazuje dráhy meteoru. Světlejší čáry ukazují směry od pozorovacích stanic při objevení se meteoru a tmavší čáry, kde byl naposledy viděn. Modrá šipka značí viditelnou dráhu meteoru.

static map
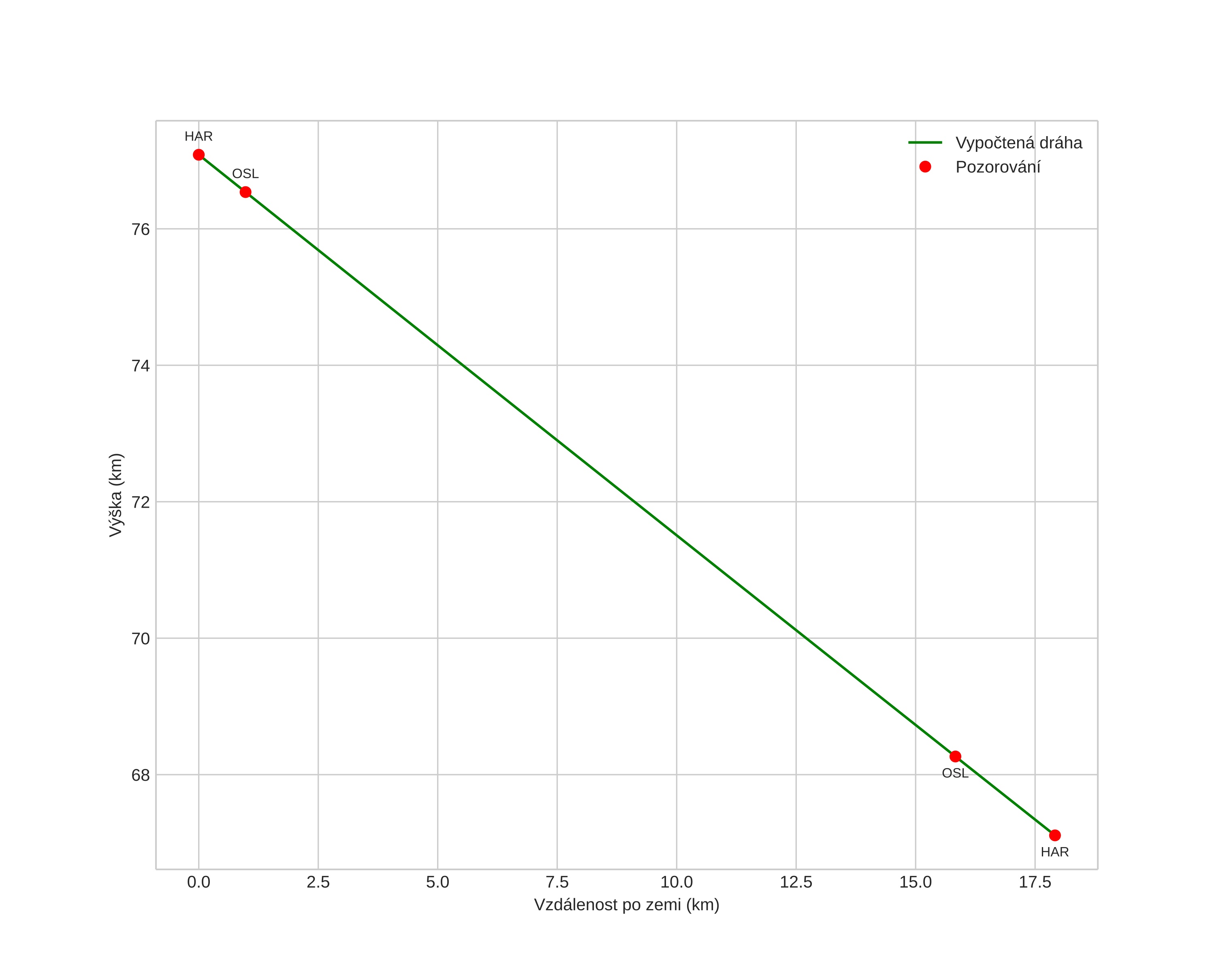
height profile
Atmosférická dráha meteoru:
Počáteční výška: 77,0 km
Konečná výška: 64,9 km
Počáteční poloha: 59,905N 12,039E
Konečná poloha: 60,025N 12,297E
Směr: 46,9°
Sklon: 31,6°
VstupnĂ­ rychlost: 14,0 km/s
Rektascenze radiantu: 05:16 (79,2°)
Deklinace radiantu: -4,7°
MeteorickĂ˝ roj: sporadickĂ˝
Elementy dráhy meteoroidu:
Vzdálenost v periheliu: 0,990 AU
Excentricita: 0,616
Sklon dráhy: 6,2°
Délka vzestupného uzlu: 159,5°
Argument perihelia: 2,9°
Střední anomálie: 359,5°
Epocha: 2020 FEB 28 20:58:46
orbit plot

NeinteraktivnĂ­ graf | InteraktivnĂ­ graf

position vs time
speed and acceleration