🇳🇴 🇬🇧 🇩🇪 🇨🇿 🇫🇮

Meteor Charlottenbergin yllä 2020-02-28 20:58:46 UTC

KML-tiedosto  |  Interaktiivinen kartta

Kartta näyttää meteorin suuntahavainnot. Vaaleammat viivat näyttävät suunnat havaintoasemilta meteorin ilmestyessä, ja tummemmat viivat näyttävät, missä se viimeksi nähtiin. Sininen nuoli näyttää meteorin näkyvän lennon.

static map
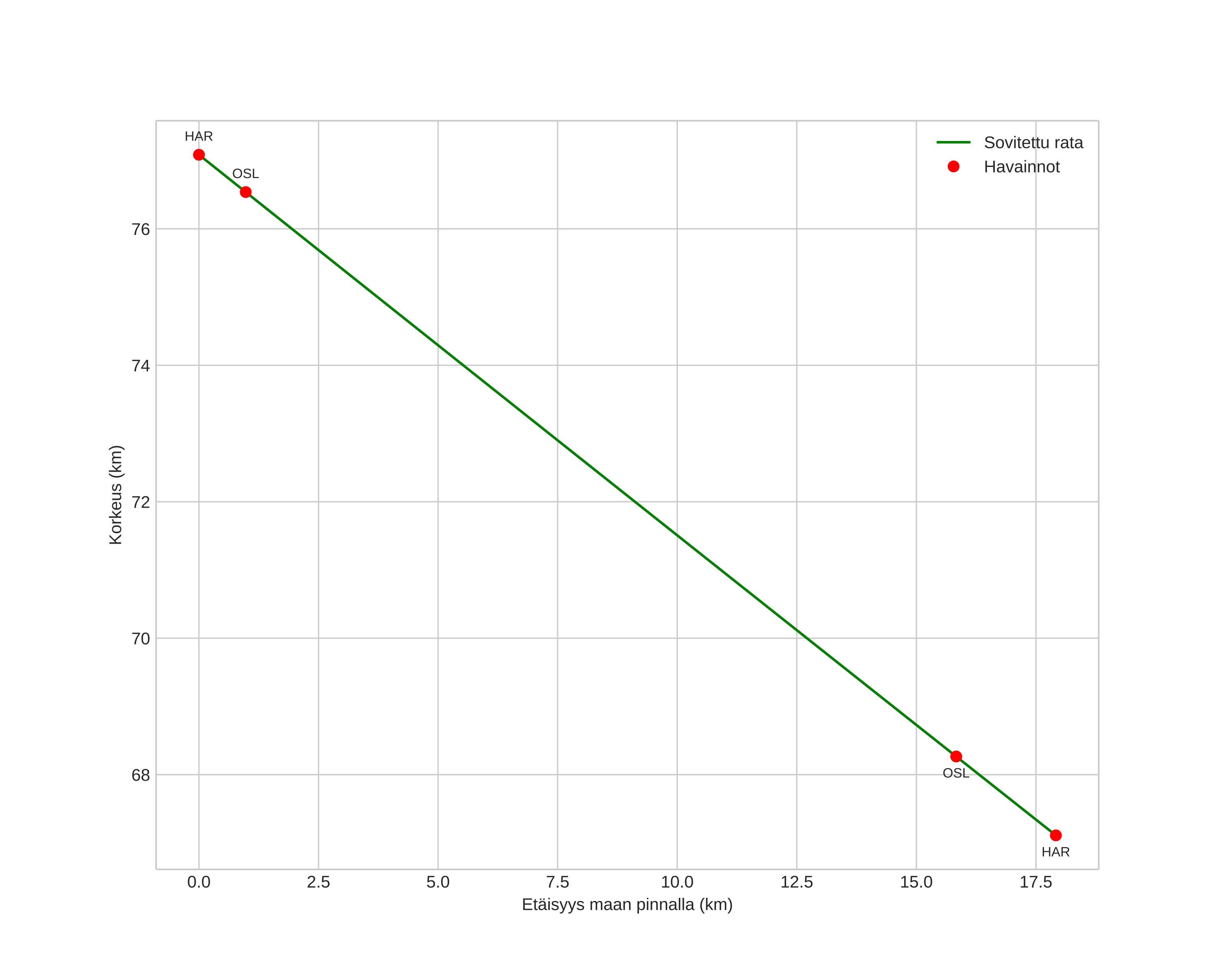
height profile
Meteorin ilmakehärata:
Alkukorkeus: 77,0 km
Loppukorkeus: 64,9 km
Alkupiste: 59,905N 12,039E
Loppupiste: 60,025N 12,297E
Suunta: 46,9°
Kallistuskulma: 31,6°
Tulonopeus: 14,0 km/s
Radiantin R,A,: 05:16 (79,2°)
Radiantin Dekl,: -4,7°
Meteoriparvi: Sporadinen
Meteoroidin rataelementit:
Perihelietäisyys: 0,990 AU
Eksentrisyys: 0,616
Inklinaatio: 6,2°
Nousevan solmun pituus: 159,5°
Perihelin argumentti: 2,9°
Keskianomalia: 359,5°
Epookki: 2020 FEB 28 20:58:46
orbit plot

Ei-interaktiivinen kuvaaja | Interaktiivinen kuvaaja

position vs time
speed and acceleration