🇳🇴 🇬🇧 🇩🇪 🇨🇿 🇫🇮

Meteor, poloha: Brastad 2020-03-08 23:57:46 UTC

Soubor KML  |  InteraktivnĂ­ mapa

Mapa zobrazuje dráhy meteoru. Světlejší čáry ukazují směry od pozorovacích stanic při objevení se meteoru a tmavší čáry, kde byl naposledy viděn. Modrá šipka značí viditelnou dráhu meteoru.

static map
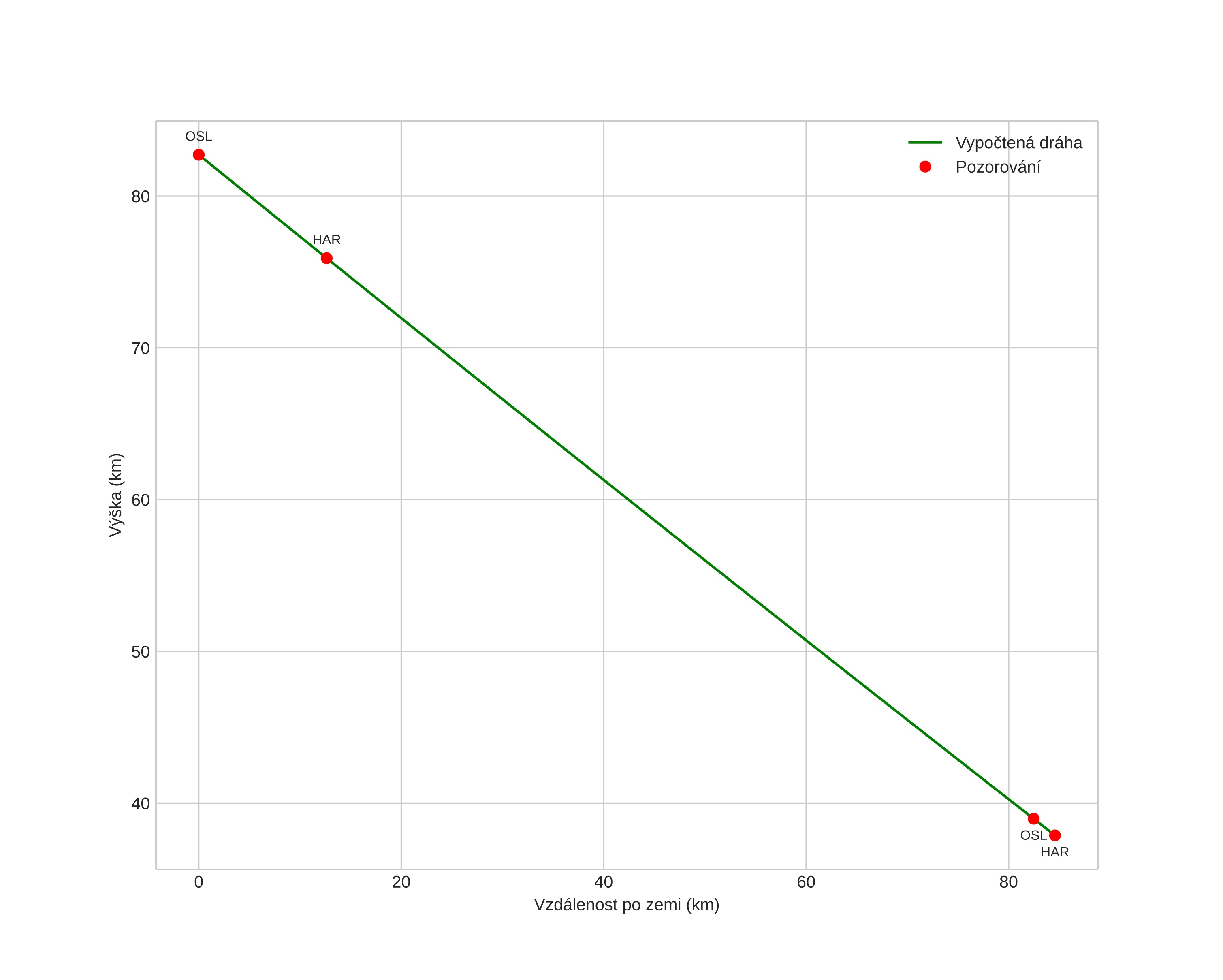
height profile
Atmosférická dráha meteoru:
Počáteční výška: 73,0 km
Konečná výška: 46,1 km
Počáteční poloha: 58,693N 10,100E
Konečná poloha: 58,456N 11,474E
Směr: 107,8°
Sklon: 17,8°
VstupnĂ­ rychlost: 13,9 km/s
Rektascenze radiantu: 04:40 (70,2°)
Deklinace radiantu: 7,1°
MeteorickĂ˝ roj: sporadickĂ˝
Elementy dráhy meteoroidu:
Vzdálenost v periheliu: 0,990 AU
Excentricita: 0,654
Sklon dráhy: 3,4°
Délka vzestupného uzlu: 168,6°
Argument perihelia: 353,3°
Střední anomálie: 1,1°
Epocha: 2020 MAR 08 23:57:46
orbit plot

NeinteraktivnĂ­ graf | InteraktivnĂ­ graf

position vs time
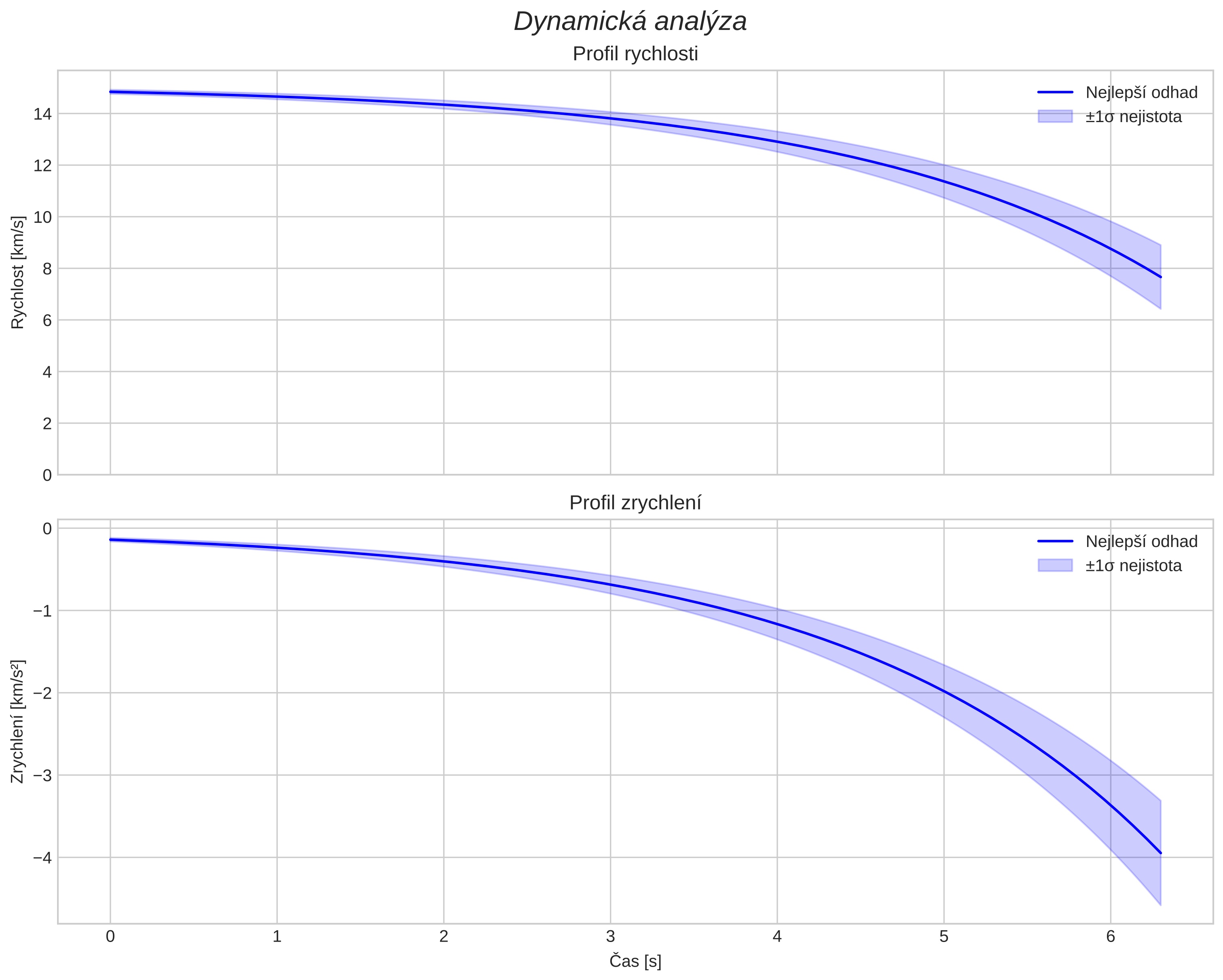
speed and acceleration