🇳🇴 🇬🇧 🇩🇪 🇨🇿 🇫🇮

Meteor Brastadin yllä 2020-03-08 23:57:46 UTC

KML-tiedosto  |  Interaktiivinen kartta

Kartta näyttää meteorin suuntahavainnot. Vaaleammat viivat näyttävät suunnat havaintoasemilta meteorin ilmestyessä, ja tummemmat viivat näyttävät, missä se viimeksi nähtiin. Sininen nuoli näyttää meteorin näkyvän lennon.

static map
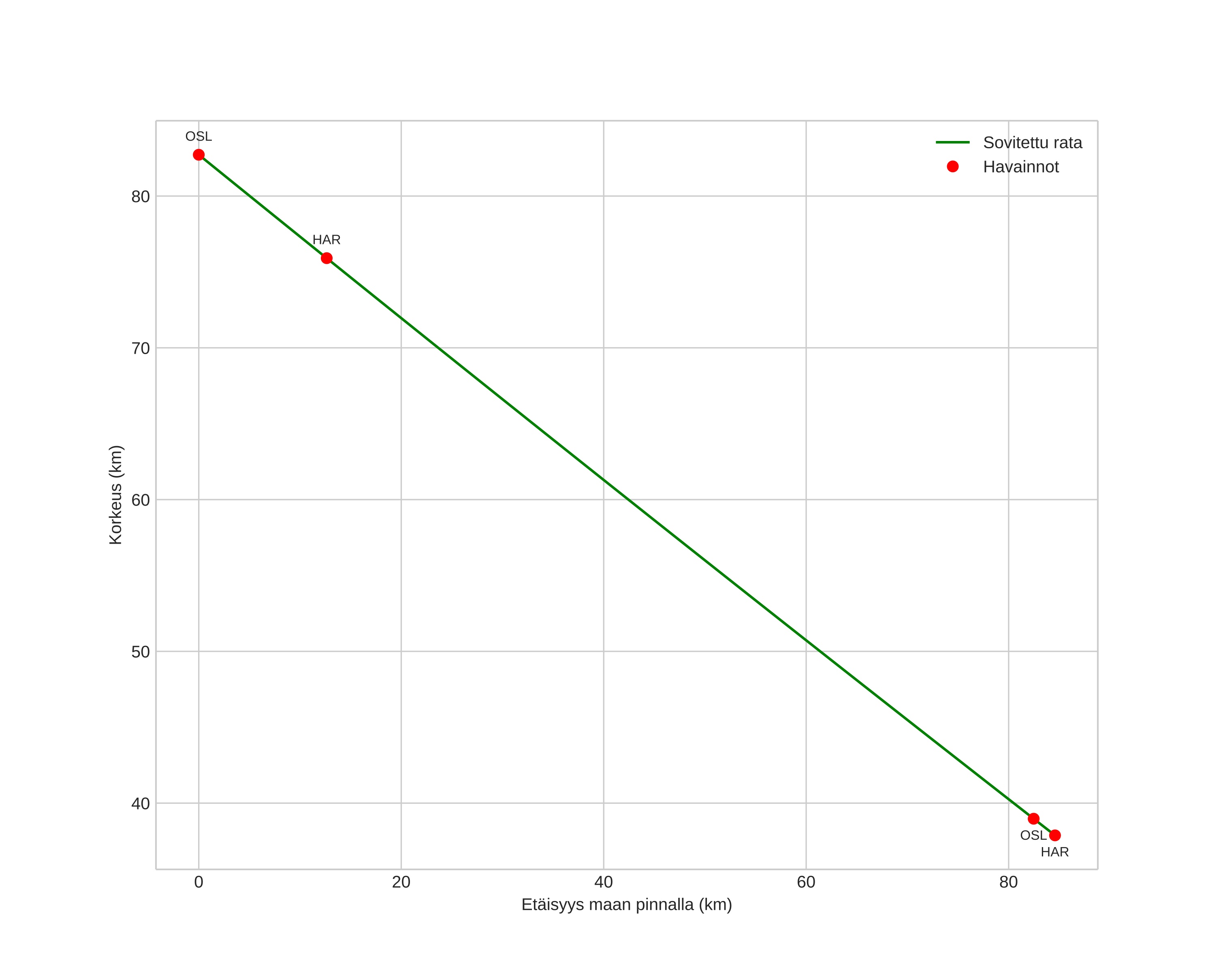
height profile
Meteorin ilmakehärata:
Alkukorkeus: 73,0 km
Loppukorkeus: 46,1 km
Alkupiste: 58,693N 10,100E
Loppupiste: 58,456N 11,474E
Suunta: 107,8°
Kallistuskulma: 17,8°
Tulonopeus: 13,9 km/s
Radiantin R,A,: 04:40 (70,2°)
Radiantin Dekl,: 7,1°
Meteoriparvi: Sporadinen
Meteoroidin rataelementit:
Perihelietäisyys: 0,990 AU
Eksentrisyys: 0,654
Inklinaatio: 3,4°
Nousevan solmun pituus: 168,6°
Perihelin argumentti: 353,3°
Keskianomalia: 1,1°
Epookki: 2020 MAR 08 23:57:46
orbit plot

Ei-interaktiivinen kuvaaja | Interaktiivinen kuvaaja

position vs time
speed and acceleration