🇳🇴 🇬🇧 🇩🇪 🇨🇿 🇫🇮

Meteor, poloha: Evenskjer 2020-03-17 20:42:22 UTC

Soubor KML  |  InteraktivnĂ­ mapa

Mapa zobrazuje dráhy meteoru. Světlejší čáry ukazují směry od pozorovacích stanic při objevení se meteoru a tmavší čáry, kde byl naposledy viděn. Modrá šipka značí viditelnou dráhu meteoru.

static map
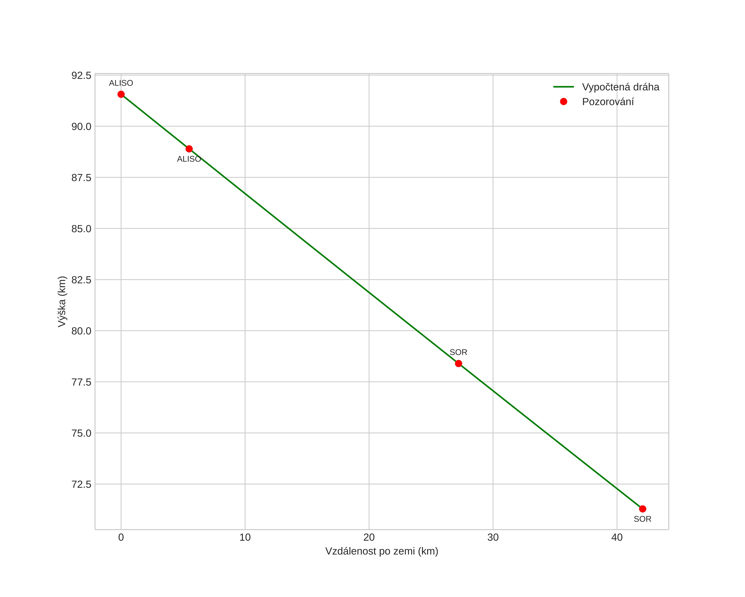
height profile
Atmosférická dráha meteoru:
Počáteční výška: 91,8 km
Konečná výška: 71,3 km
Počáteční poloha: 68,044N 17,147E
Konečná poloha: 68,349N 16,550E
Směr: 324,3°
Sklon: 26,1°
VstupnĂ­ rychlost: 29,2 km/s
Rektascenze radiantu: 11:42 (175,5°)
Deklinace radiantu: 5,1°
MeteorickĂ˝ roj: sporadickĂ˝
Elementy dráhy meteoroidu:
Vzdálenost v periheliu: 0,575 AU
Excentricita: 0,942
Sklon dráhy: 2,5°
Délka vzestupného uzlu: 357,4°
Argument perihelia: 262,5°
Střední anomálie: 358,7°
Epocha: 2020 MAR 17 20:42:22
orbit plot

NeinteraktivnĂ­ graf | InteraktivnĂ­ graf

position vs time
speed and acceleration