🇳🇴 🇬🇧 🇩🇪 🇨🇿 🇫🇮

Meteor Evenskjerin yllä 2020-03-17 20:42:22 UTC

KML-tiedosto  |  Interaktiivinen kartta

Kartta näyttää meteorin suuntahavainnot. Vaaleammat viivat näyttävät suunnat havaintoasemilta meteorin ilmestyessä, ja tummemmat viivat näyttävät, missä se viimeksi nähtiin. Sininen nuoli näyttää meteorin näkyvän lennon.

static map
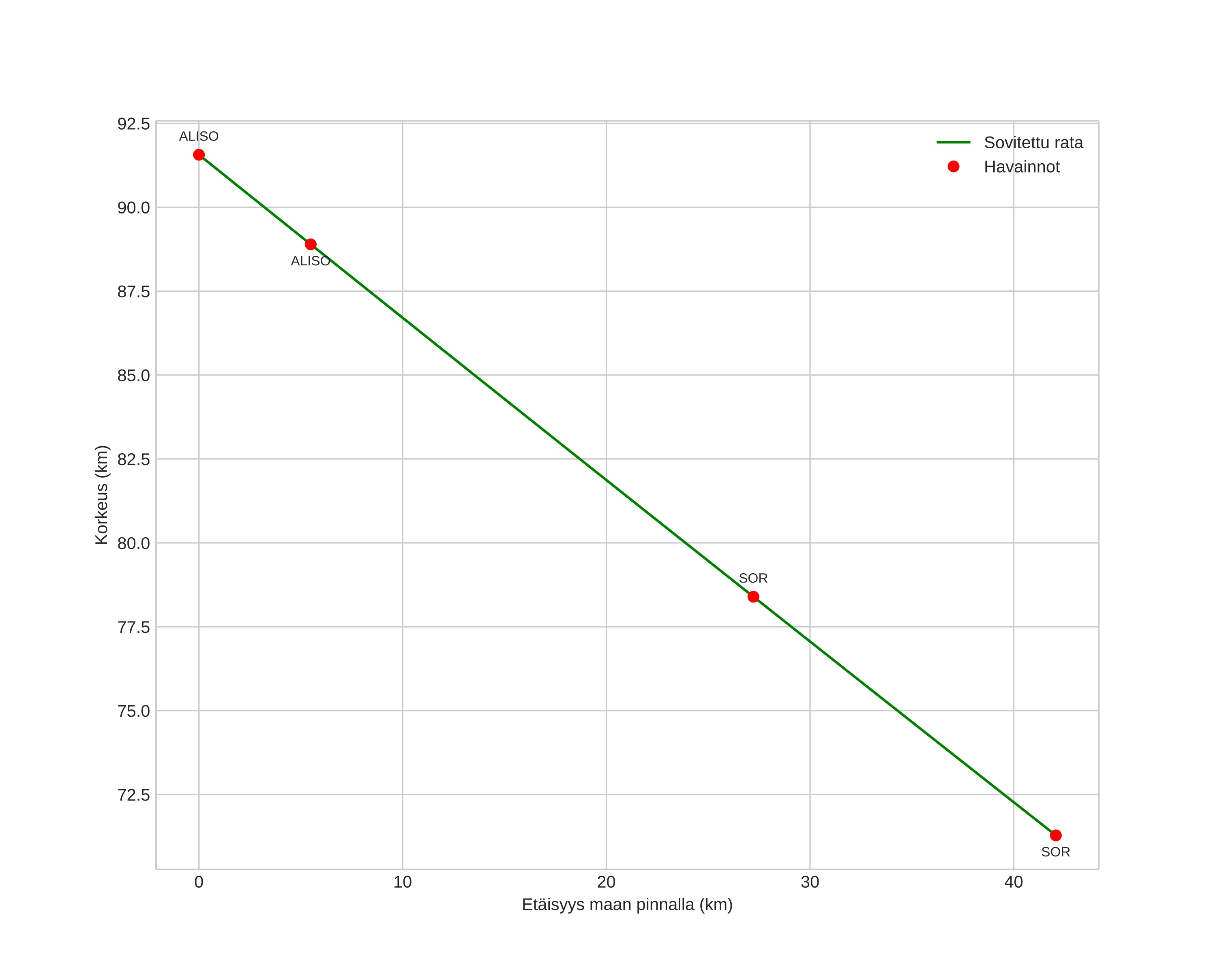
height profile
Meteorin ilmakehärata:
Alkukorkeus: 91,8 km
Loppukorkeus: 71,3 km
Alkupiste: 68,044N 17,147E
Loppupiste: 68,349N 16,550E
Suunta: 324,3°
Kallistuskulma: 26,1°
Tulonopeus: 29,2 km/s
Radiantin R,A,: 11:42 (175,5°)
Radiantin Dekl,: 5,1°
Meteoriparvi: Sporadinen
Meteoroidin rataelementit:
Perihelietäisyys: 0,575 AU
Eksentrisyys: 0,942
Inklinaatio: 2,5°
Nousevan solmun pituus: 357,4°
Perihelin argumentti: 262,5°
Keskianomalia: 358,7°
Epookki: 2020 MAR 17 20:42:22
orbit plot

Ei-interaktiivinen kuvaaja | Interaktiivinen kuvaaja

position vs time
speed and acceleration