🇳🇴 🇬🇧 🇩🇪 🇨🇿 🇫🇮

Meteor, poloha: Dokka 2020-04-02 00:19:39 UTC

Soubor KML  |  InteraktivnĂ­ mapa

Mapa zobrazuje dráhy meteoru. Světlejší čáry ukazují směry od pozorovacích stanic při objevení se meteoru a tmavší čáry, kde byl naposledy viděn. Modrá šipka značí viditelnou dráhu meteoru.

static map
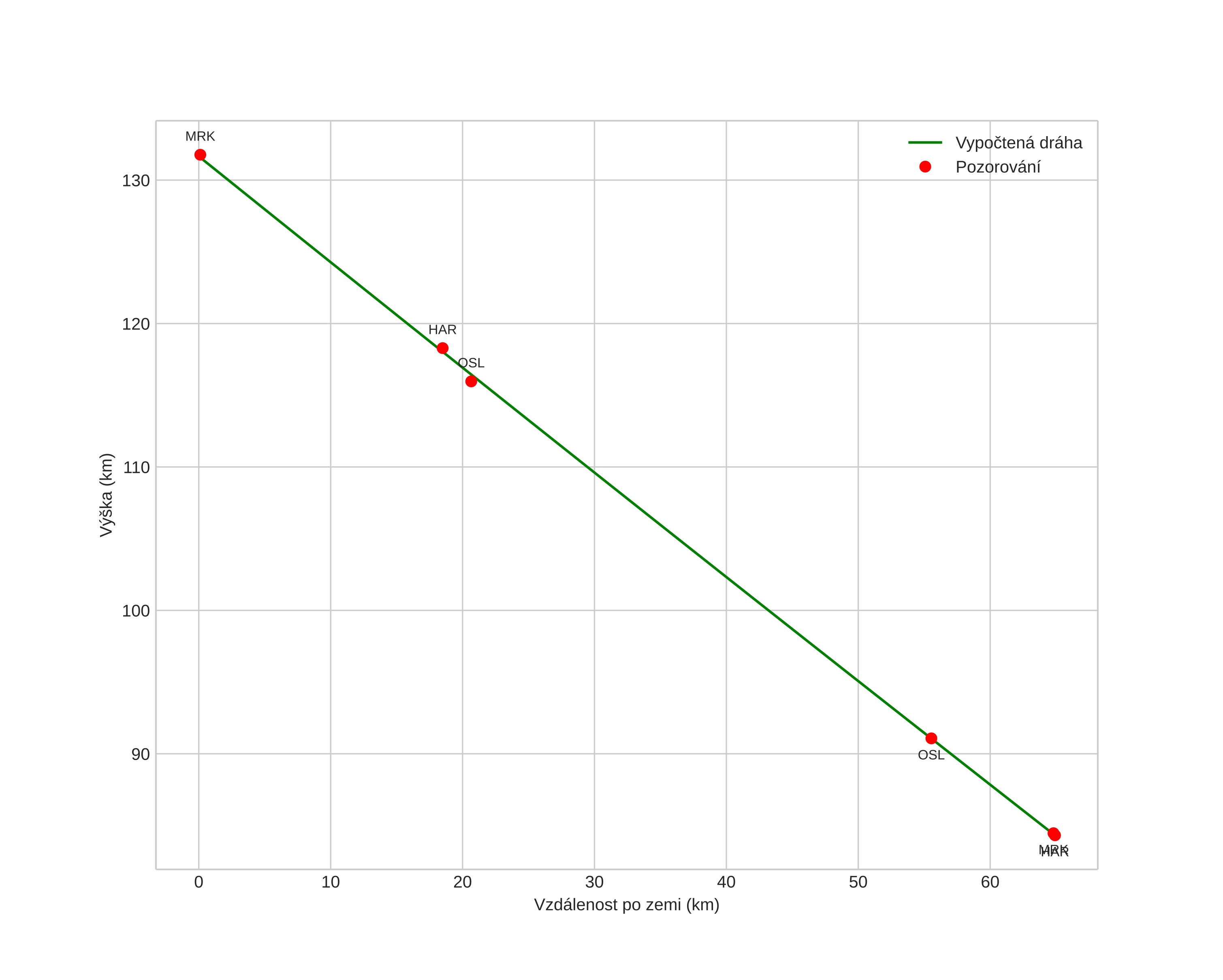
height profile
Atmosférická dráha meteoru:
Počáteční výška: 132,8 km
Konečná výška: 84,3 km
Počáteční poloha: 60,375N 10,898E
Konečná poloha: 60,692N 9,902E
Směr: 303,3°
Sklon: 36,8°
VstupnĂ­ rychlost: 70,5 km/s
Rektascenze radiantu: 16:43 (250,9°)
Deklinace radiantu: 17,4°
MeteorickĂ˝ roj: sporadickĂ˝
Elementy dráhy meteoroidu:
Vzdálenost v periheliu: 0,761 AU
Excentricita: 2,131
Sklon dráhy: 107,2°
Délka vzestupného uzlu: 12,5°
Argument perihelia: 229,6°
Střední anomálie: -40,7°
Epocha: 2020 APR 02 00:19:39
orbit plot

NeinteraktivnĂ­ graf | InteraktivnĂ­ graf

position vs time
speed and acceleration