🇳🇴 🇬🇧 🇩🇪 🇨🇿 🇫🇮

Meteor Dokkan yllä 2020-04-02 00:19:39 UTC

KML-tiedosto  |  Interaktiivinen kartta

Kartta näyttää meteorin suuntahavainnot. Vaaleammat viivat näyttävät suunnat havaintoasemilta meteorin ilmestyessä, ja tummemmat viivat näyttävät, missä se viimeksi nähtiin. Sininen nuoli näyttää meteorin näkyvän lennon.

static map
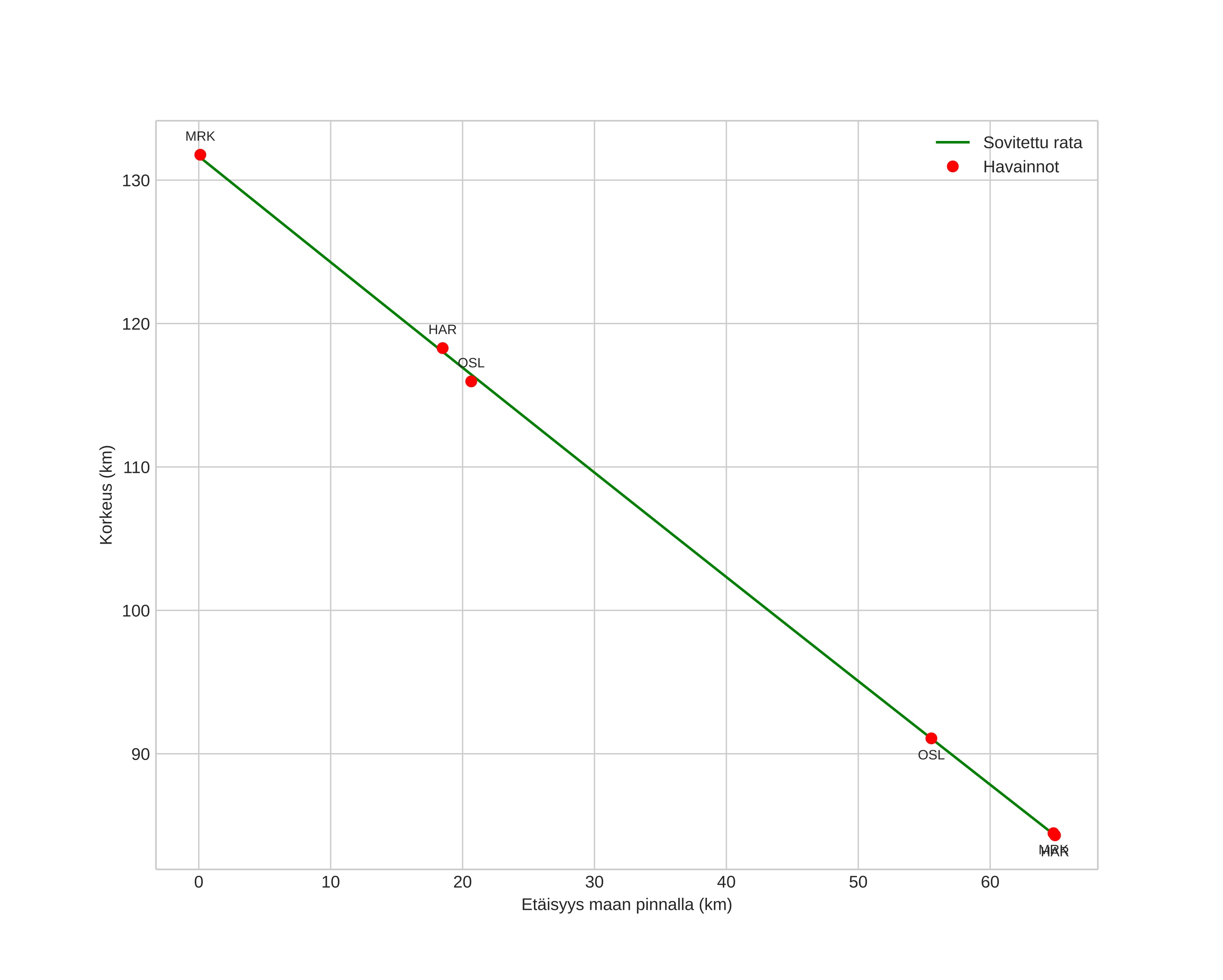
height profile
Meteorin ilmakehärata:
Alkukorkeus: 132,8 km
Loppukorkeus: 84,3 km
Alkupiste: 60,375N 10,898E
Loppupiste: 60,692N 9,902E
Suunta: 303,3°
Kallistuskulma: 36,8°
Tulonopeus: 70,5 km/s
Radiantin R,A,: 16:43 (250,9°)
Radiantin Dekl,: 17,4°
Meteoriparvi: Sporadinen
Meteoroidin rataelementit:
Perihelietäisyys: 0,761 AU
Eksentrisyys: 2,131
Inklinaatio: 107,2°
Nousevan solmun pituus: 12,5°
Perihelin argumentti: 229,6°
Keskianomalia: -40,7°
Epookki: 2020 APR 02 00:19:39
orbit plot

Ei-interaktiivinen kuvaaja | Interaktiivinen kuvaaja

position vs time
speed and acceleration