🇳🇴 🇬🇧 🇩🇪 🇨🇿 🇫🇮

Meteor, poloha: Revetal 2020-04-04 01:00:31 UTC

Harestua – 4
Harestua – 4
Voksenlia – 1
Voksenlia – 1

Soubor KML  | Interaktivní mapa

map

Mapa zobrazuje dráhy meteoru. Světlejší čáry ukazují směry od pozorovacích stanic při objevení se meteoru a tmavší čáry, kde byl naposledy viděn. Modrá šipka značí viditelnou dráhu meteoru.

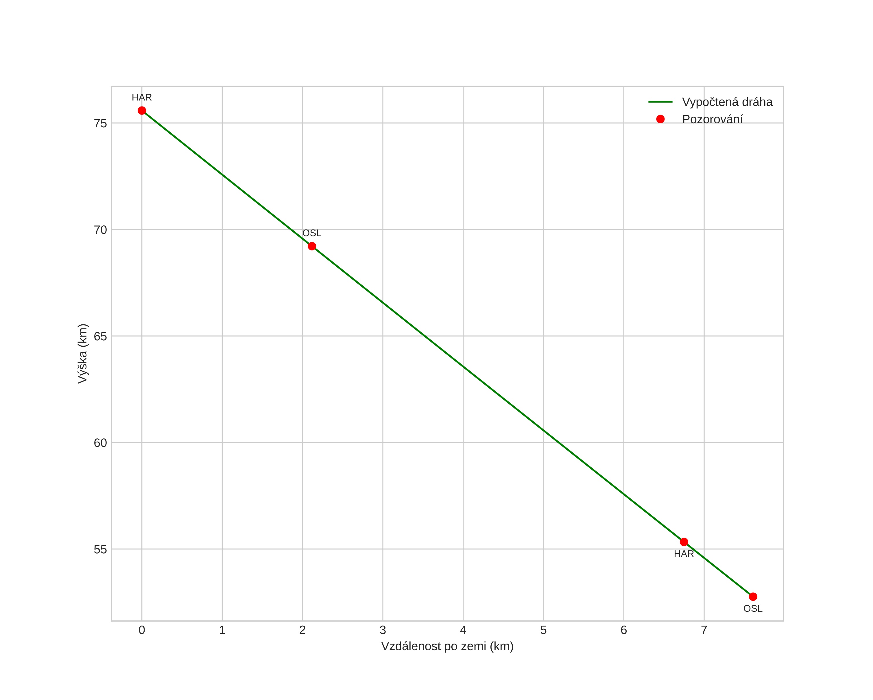
height profile
Atmosférická dráha meteoru:
Počáteční výška: 85,9 km
Konečná výška: 63,5 km
Počáteční poloha: 59,330N 10,076E
Konečná poloha: 59,277N 10,178E
Směr: 135,8°
Sklon: 69,7°
Vstupní rychlost: 17,1 km/s
Rektascenze radiantu: 11:04 (166,1°)
Deklinace radiantu: 68,5°
Meteorický roj: sporadický
Elementy dráhy meteoroidu:
Vzdálenost v periheliu: 0,995 AU
Excentricita: 0,652
Sklon dráhy: 16,3°
Délka vzestupného uzlu: 14,5°
Argument perihelia: 189,7°
Střední anomálie: 358,5°
Epocha: 2020 APR 04 01:00:31
orbit

Neinteraktivní graf | Interaktivní graf

position vs time
speed & acceleration