🇳🇴 🇬🇧 🇩🇪 🇨🇿 🇫🇮

Meteor über Revetal 2020-04-04 01:00:31 UTC

Harestua – 4
Harestua – 4
Voksenlia – 1
Voksenlia – 1

KML-Datei  | Interaktive Karte

map

Die Karte zeigt die Peilungen für den Meteor. Die helleren Linien zeigen die Richtungen von den Beobachtungsorten beim Erscheinen des Meteors, und die dunkleren Linien, wo er zuletzt gesehen wurde. Der blaue Pfeil zeigt die sichtbare Bahn des Meteors.

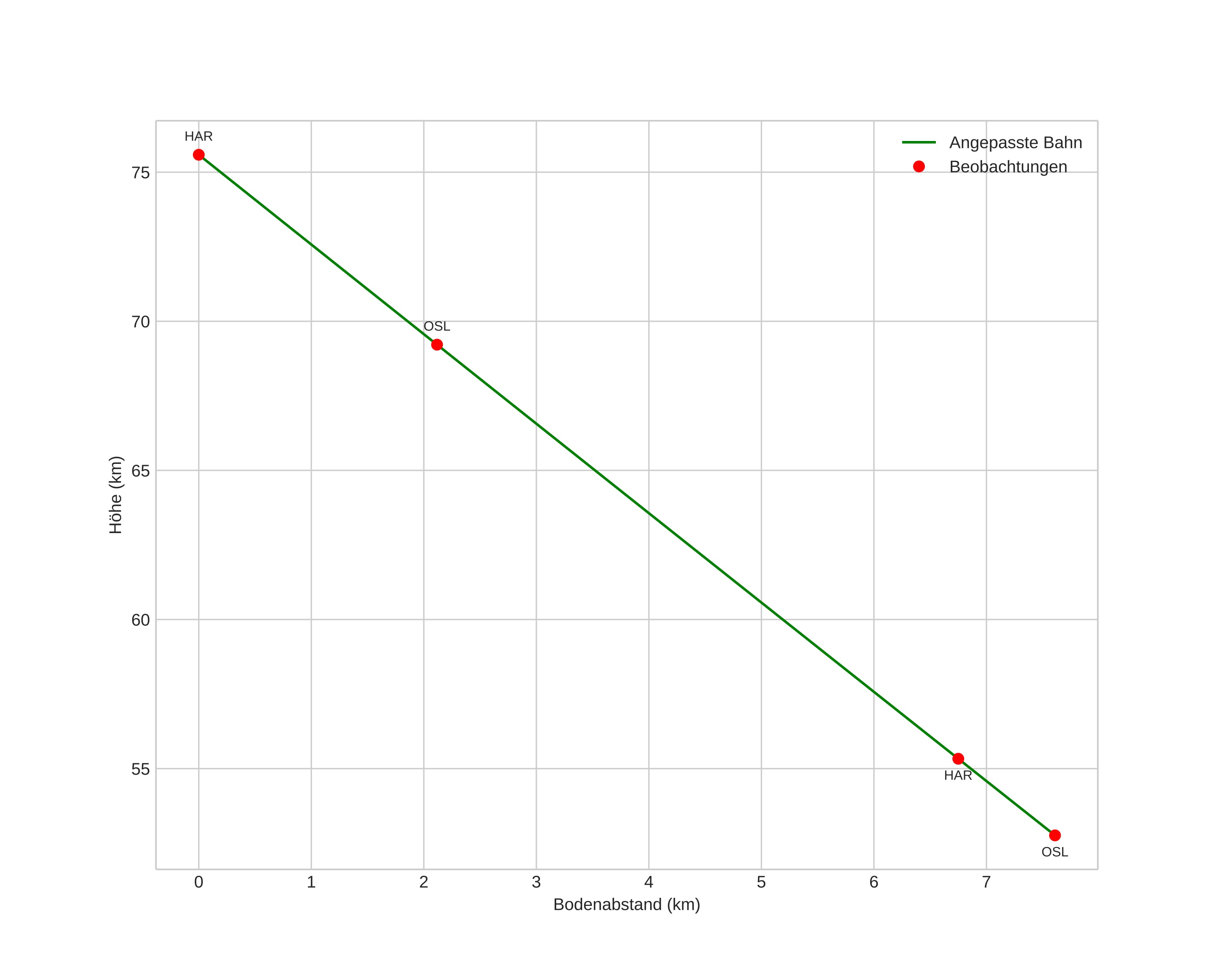
height profile
Atmosphärische Bahn des Meteors:
Anfangshöhe: 85,9 km
Endhöhe: 63,5 km
Startposition: 59,330N 10,076E
Endposition: 59,277N 10,178E
Richtung: 135,8°
Neigungswinkel: 69,7°
Eintrittsgeschwindigkeit: 17,1 km/s
Rektaszension des Radianten: 11:04 (166,1°)
Deklination des Radianten: 68,5°
Meteorstrom: sporadisch
Bahnelemente des Meteoroiden:
Periheldistanz: 0,995 AU
Exzentrizität: 0,652
Inklination: 16,3°
Länge des aufsteigenden Knotens: 14,5°
Argument des Perihels: 189,7°
Mittlere Anomalie: 358,5°
Epoche: 2020 APR 04 01:00:31
orbit

Nicht-interaktives Diagramm | Interaktives Diagramm

position vs time
speed & acceleration