🇳🇴 🇬🇧 🇩🇪 🇨🇿 🇫🇮

Meteor, poloha: MerĂĄker 2020-04-08 01:07:54 UTC

Soubor KML  |  InteraktivnĂ­ mapa

Mapa zobrazuje dráhy meteoru. Světlejší čáry ukazují směry od pozorovacích stanic při objevení se meteoru a tmavší čáry, kde byl naposledy viděn. Modrá šipka značí viditelnou dráhu meteoru.

static map
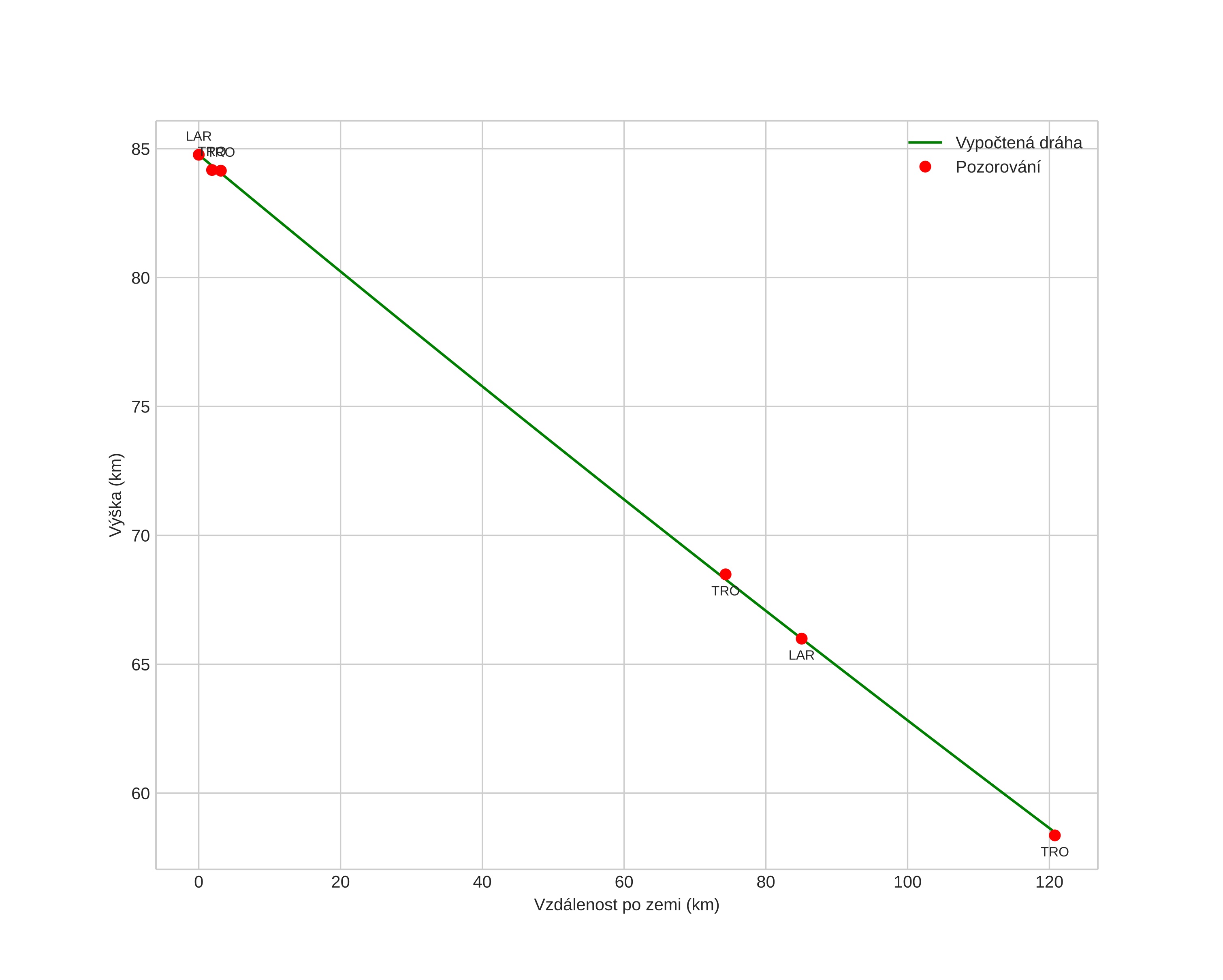
height profile
Atmosférická dráha meteoru:
Počáteční výška: 85,9 km
Konečná výška: 58,0 km
Počáteční poloha: 62,482N 10,551E
Konečná poloha: 63,532N 11,579E
Směr: 23,5°
Sklon: 12,3°
VstupnĂ­ rychlost: 28,4 km/s
Rektascenze radiantu: 13:16 (199,2°)
Deklinace radiantu: -16,6°
MeteorickĂ˝ roj: sporadickĂ˝
Elementy dráhy meteoroidu:
Vzdálenost v periheliu: 0,472 AU
Excentricita: 0,801
Sklon dráhy: 7,5°
Délka vzestupného uzlu: 198,4°
Argument perihelia: 100,9°
Střední anomálie: 347,9°
Epocha: 2020 APR 08 01:07:54
orbit plot

NeinteraktivnĂ­ graf | InteraktivnĂ­ graf

position vs time
speed and acceleration