🇳🇴 🇬🇧 🇩🇪 🇨🇿 🇫🇮

Meteor Meråkerin yllä 2020-04-08 01:07:54 UTC

KML-tiedosto  |  Interaktiivinen kartta

Kartta näyttää meteorin suuntahavainnot. Vaaleammat viivat näyttävät suunnat havaintoasemilta meteorin ilmestyessä, ja tummemmat viivat näyttävät, missä se viimeksi nähtiin. Sininen nuoli näyttää meteorin näkyvän lennon.

static map
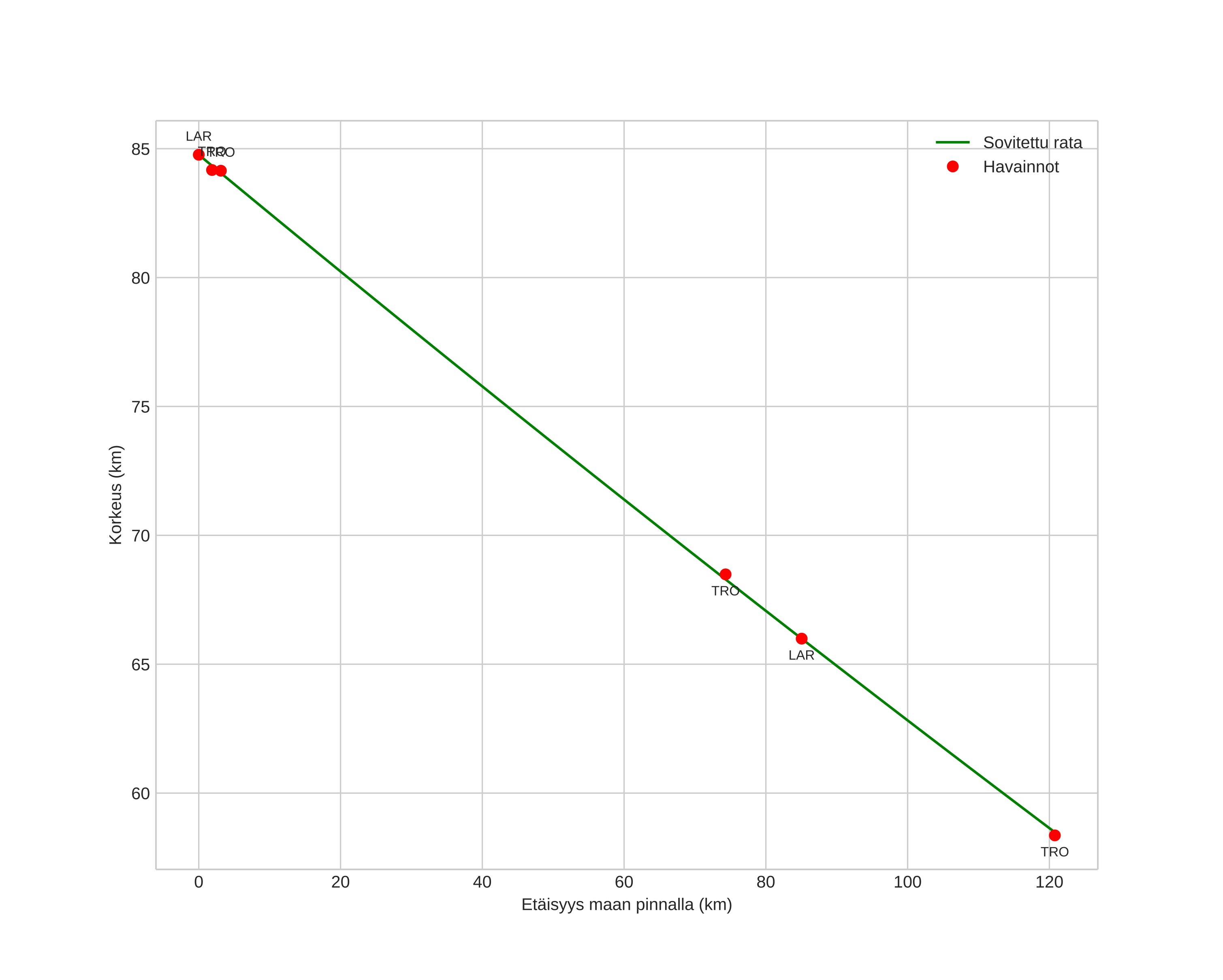
height profile
Meteorin ilmakehärata:
Alkukorkeus: 85,9 km
Loppukorkeus: 58,0 km
Alkupiste: 62,482N 10,551E
Loppupiste: 63,532N 11,579E
Suunta: 23,5°
Kallistuskulma: 12,3°
Tulonopeus: 28,4 km/s
Radiantin R,A,: 13:16 (199,2°)
Radiantin Dekl,: -16,6°
Meteoriparvi: Sporadinen
Meteoroidin rataelementit:
Perihelietäisyys: 0,472 AU
Eksentrisyys: 0,801
Inklinaatio: 7,5°
Nousevan solmun pituus: 198,4°
Perihelin argumentti: 100,9°
Keskianomalia: 347,9°
Epookki: 2020 APR 08 01:07:54
orbit plot

Ei-interaktiivinen kuvaaja | Interaktiivinen kuvaaja

position vs time
speed and acceleration