🇳🇴 🇬🇧 🇩🇪 🇨🇿 🇫🇮

Meteor, poloha: SkĂĄlevik 2020-04-08 23:00:03 UTC

Soubor KML

Mapa zobrazuje dráhy meteoru. Světlejší čáry ukazují směry od pozorovacích stanic při objevení se meteoru a tmavší čáry, kde byl naposledy viděn. Modrá šipka značí viditelnou dráhu meteoru.

static map
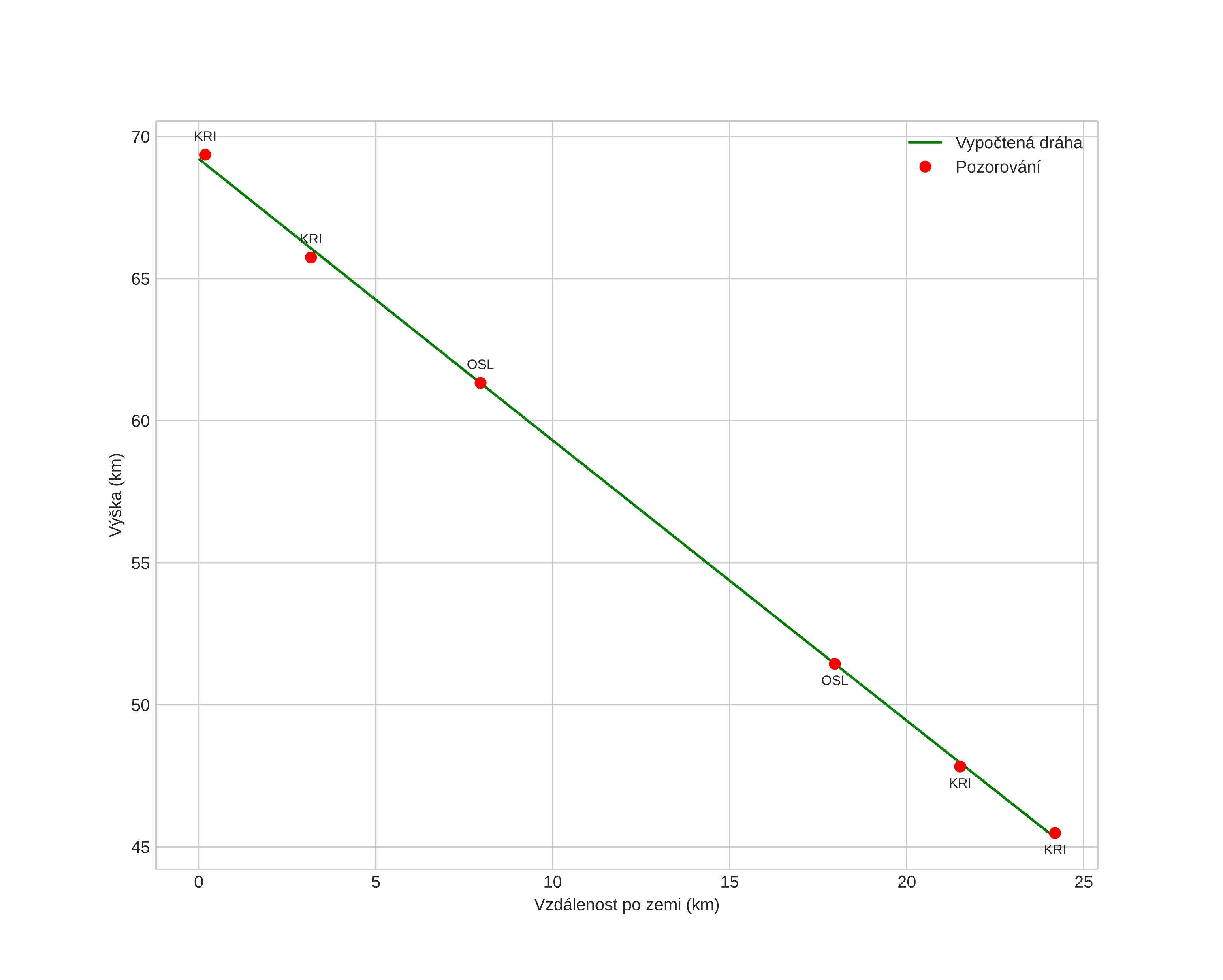
height profile
Atmosférická dráha meteoru:
Počáteční výška: 69,2 km
Konečná výška: 45,4 km
Počáteční poloha: 57,654N 7,503E
Konečná poloha: 57,710N 7,895E
Směr: 74,6°
Sklon: 44,6°
VstupnĂ­ rychlost: 13,4 km/s
Rektascenze radiantu: 08:35 (129,0°)
Deklinace radiantu: 18,4°
MeteorickĂ˝ roj: sporadickĂ˝
Elementy dráhy meteoroidu:
Vzdálenost v periheliu: 0,998 AU
Excentricita: 0,567
Sklon dráhy: 0,1°
Délka vzestupného uzlu: 198,4°
Argument perihelia: 8,7°
Střední anomálie: 358,2°
Epocha: 2020 APR 08 23:00:03
orbit plot

NeinteraktivnĂ­ graf

position vs time
speed and acceleration