🇳🇴 🇬🇧 🇩🇪 🇨🇿 🇫🇮

Meteor Skålevikin yllä 2020-04-08 23:00:03 UTC

KML-tiedosto

Kartta näyttää meteorin suuntahavainnot. Vaaleammat viivat näyttävät suunnat havaintoasemilta meteorin ilmestyessä, ja tummemmat viivat näyttävät, missä se viimeksi nähtiin. Sininen nuoli näyttää meteorin näkyvän lennon.

static map
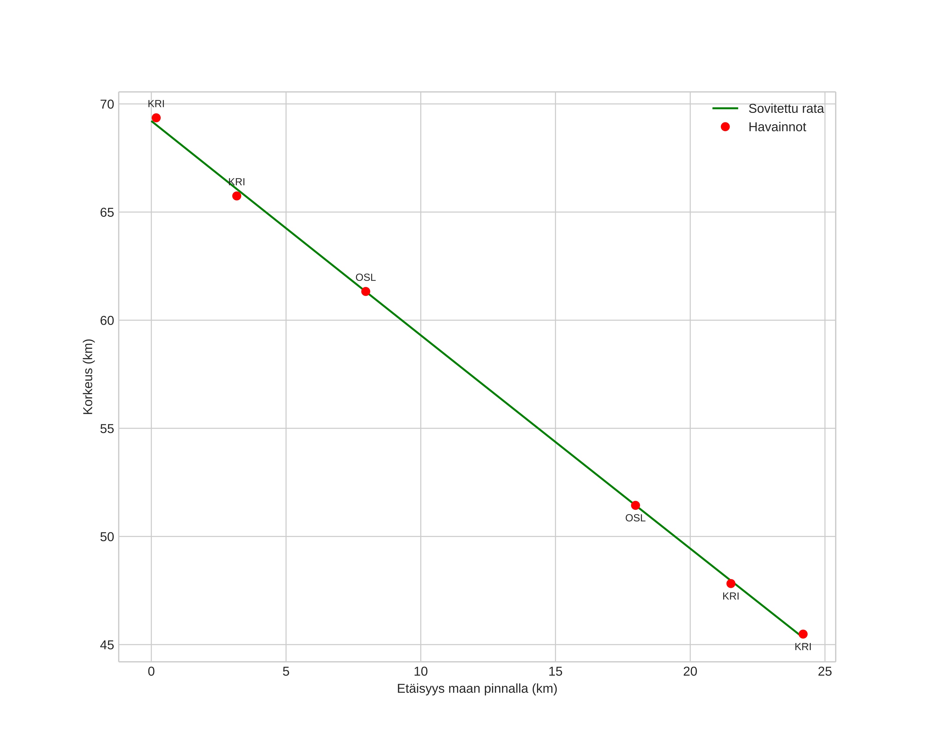
height profile
Meteorin ilmakehärata:
Alkukorkeus: 69,2 km
Loppukorkeus: 45,4 km
Alkupiste: 57,654N 7,503E
Loppupiste: 57,710N 7,895E
Suunta: 74,6°
Kallistuskulma: 44,6°
Tulonopeus: 13,4 km/s
Radiantin R,A,: 08:35 (129,0°)
Radiantin Dekl,: 18,4°
Meteoriparvi: Sporadinen
Meteoroidin rataelementit:
Perihelietäisyys: 0,998 AU
Eksentrisyys: 0,567
Inklinaatio: 0,1°
Nousevan solmun pituus: 198,4°
Perihelin argumentti: 8,7°
Keskianomalia: 358,2°
Epookki: 2020 APR 08 23:00:03
orbit plot

Ei-interaktiivinen kuvaaja

position vs time
speed and acceleration