🇳🇴 🇬🇧 🇩🇪 🇨🇿 🇫🇮

Meteor, poloha: Vikersund 2020-04-17 21:39:45 UTC

Soubor KML  |  InteraktivnĂ­ mapa

Mapa zobrazuje dráhy meteoru. Světlejší čáry ukazují směry od pozorovacích stanic při objevení se meteoru a tmavší čáry, kde byl naposledy viděn. Modrá šipka značí viditelnou dráhu meteoru.

static map
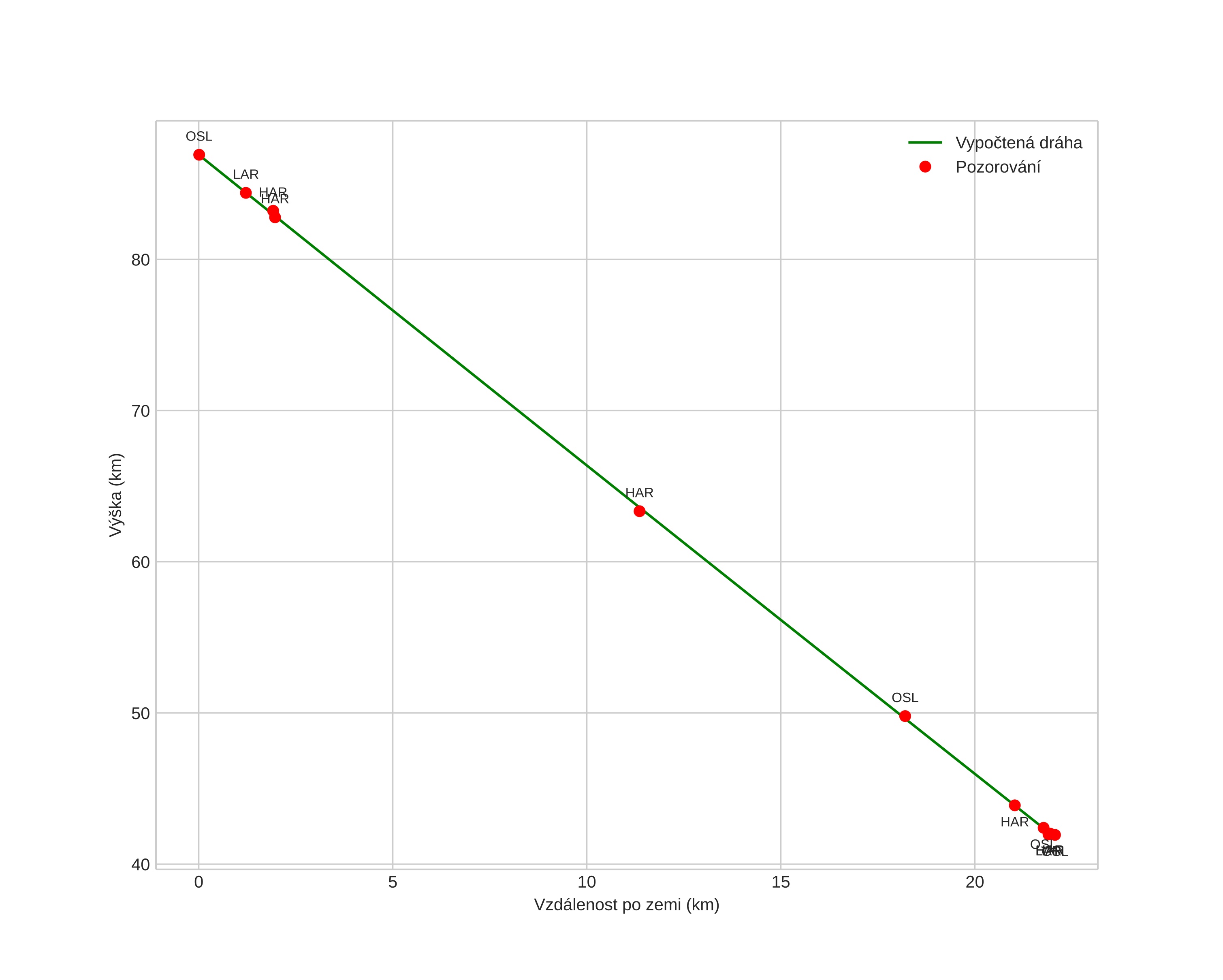
height profile
Atmosférická dráha meteoru:
Počáteční výška: 87,7 km
Konečná výška: 42,1 km
Počáteční poloha: 60,122N 10,297E
Konečná poloha: 59,949N 10,097E
Směr: 210,0°
Sklon: 64,0°
VstupnĂ­ rychlost: 17,4 km/s
Rektascenze radiantu: 17:04 (256,0°)
Deklinace radiantu: 76,1°
MeteorickĂ˝ roj: sporadickĂ˝
Elementy dráhy meteoroidu:
Vzdálenost v periheliu: 1,003 AU
Excentricita: 0,356
Sklon dráhy: 22,2°
Délka vzestupného uzlu: 28,1°
Argument perihelia: 174,4°
Střední anomálie: 2,5°
Epocha: 2020 APR 17 21:39:45
orbit plot

NeinteraktivnĂ­ graf | InteraktivnĂ­ graf

position vs time
speed and acceleration