🇳🇴 🇬🇧 🇩🇪 🇨🇿 🇫🇮

Meteor Vikersundin yllä 2020-04-17 21:39:45 UTC

KML-tiedosto  |  Interaktiivinen kartta

Kartta näyttää meteorin suuntahavainnot. Vaaleammat viivat näyttävät suunnat havaintoasemilta meteorin ilmestyessä, ja tummemmat viivat näyttävät, missä se viimeksi nähtiin. Sininen nuoli näyttää meteorin näkyvän lennon.

static map
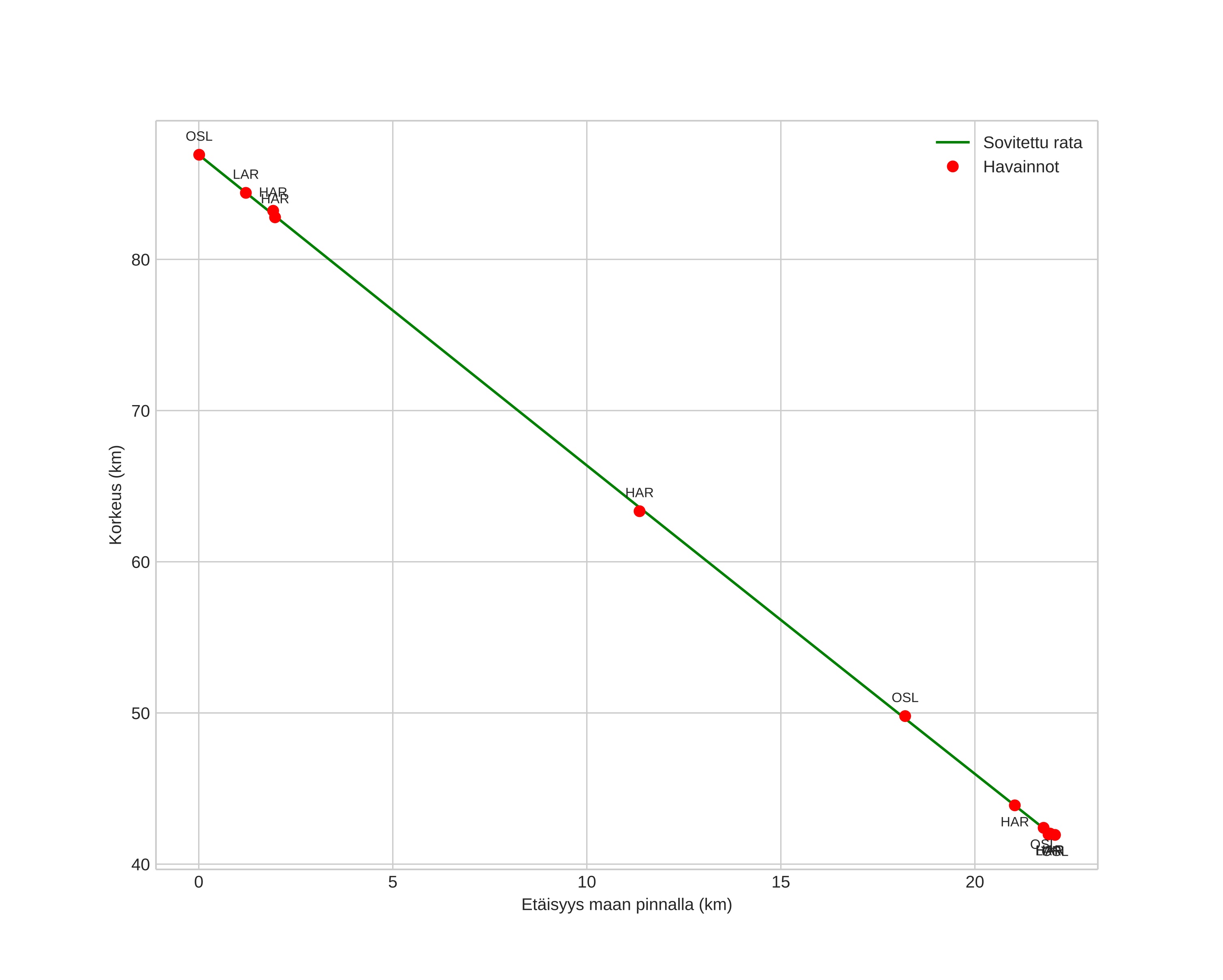
height profile
Meteorin ilmakehärata:
Alkukorkeus: 87,7 km
Loppukorkeus: 42,1 km
Alkupiste: 60,122N 10,297E
Loppupiste: 59,949N 10,097E
Suunta: 210,0°
Kallistuskulma: 64,0°
Tulonopeus: 17,4 km/s
Radiantin R,A,: 17:04 (256,0°)
Radiantin Dekl,: 76,1°
Meteoriparvi: Sporadinen
Meteoroidin rataelementit:
Perihelietäisyys: 1,003 AU
Eksentrisyys: 0,356
Inklinaatio: 22,2°
Nousevan solmun pituus: 28,1°
Perihelin argumentti: 174,4°
Keskianomalia: 2,5°
Epookki: 2020 APR 17 21:39:45
orbit plot

Ei-interaktiivinen kuvaaja | Interaktiivinen kuvaaja

position vs time
speed and acceleration