🇳🇴 🇬🇧 🇩🇪 🇨🇿 🇫🇮

Meteor, poloha: Sistranda 2020-04-21 01:18:42 UTC

Soubor KML  |  InteraktivnĂ­ mapa

Mapa zobrazuje dráhy meteoru. Světlejší čáry ukazují směry od pozorovacích stanic při objevení se meteoru a tmavší čáry, kde byl naposledy viděn. Modrá šipka značí viditelnou dráhu meteoru.

static map
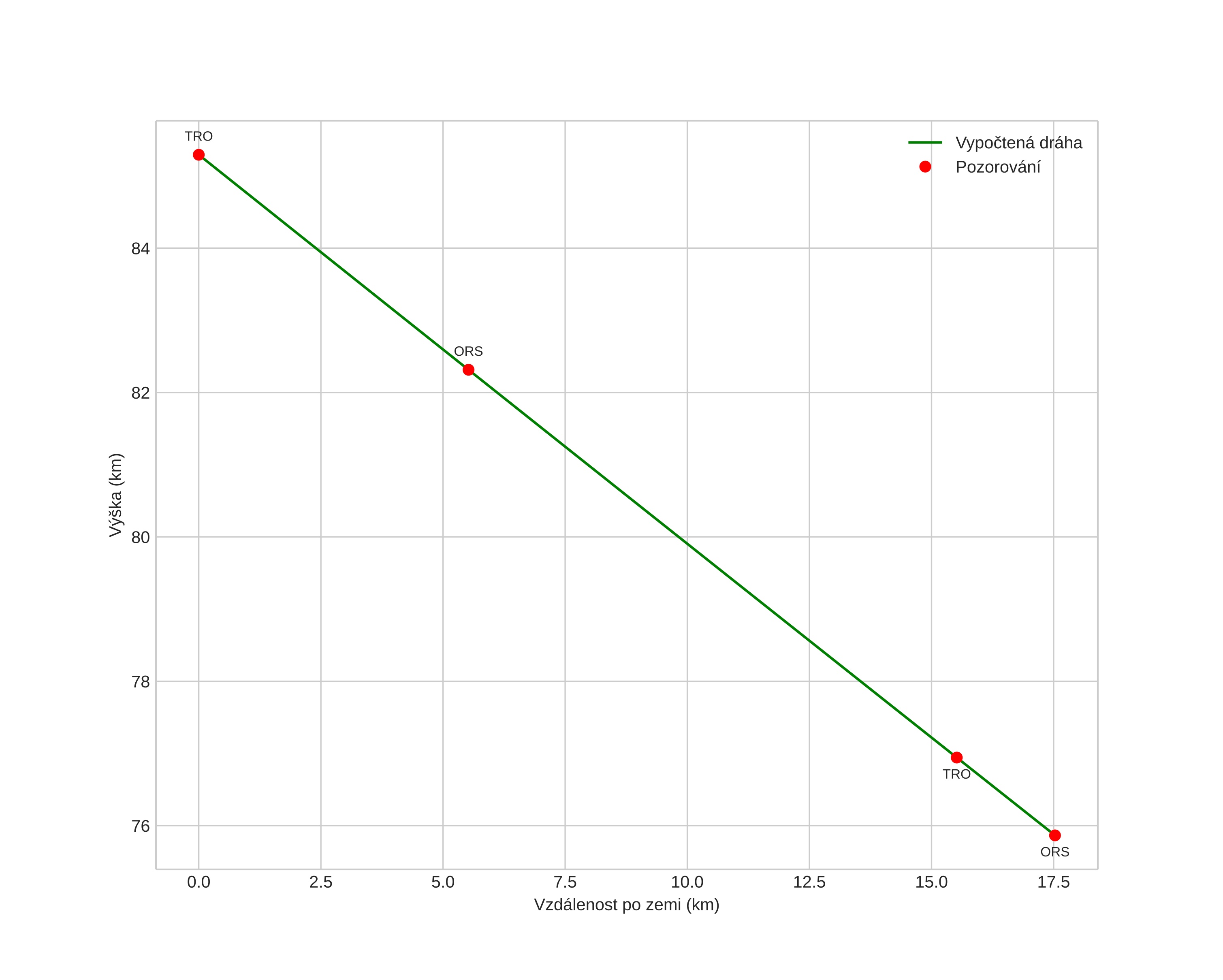
height profile
Atmosférická dráha meteoru:
Počáteční výška: 84,5 km
Konečná výška: 76,2 km
Počáteční poloha: 64,734N 8,667E
Konečná poloha: 64,830N 8,901E
Směr: 45,8°
Sklon: 28,3°
VstupnĂ­ rychlost: 20,9 km/s
Rektascenze radiantu: 13:02 (195,6°)
Deklinace radiantu: 4,3°
MeteorickĂ˝ roj: sporadickĂ˝
Elementy dráhy meteoroidu:
Vzdálenost v periheliu: 0,804 AU
Excentricita: 0,769
Sklon dráhy: 5,1°
Délka vzestupného uzlu: 31,2°
Argument perihelia: 237,4°
Střední anomálie: 354,4°
Epocha: 2020 APR 21 01:18:42
orbit plot

NeinteraktivnĂ­ graf | InteraktivnĂ­ graf

position vs time
speed and acceleration