🇳🇴 🇬🇧 🇩🇪 🇨🇿 🇫🇮

Meteor Sistrandan yllä 2020-04-21 01:18:42 UTC

KML-tiedosto  |  Interaktiivinen kartta

Kartta näyttää meteorin suuntahavainnot. Vaaleammat viivat näyttävät suunnat havaintoasemilta meteorin ilmestyessä, ja tummemmat viivat näyttävät, missä se viimeksi nähtiin. Sininen nuoli näyttää meteorin näkyvän lennon.

static map
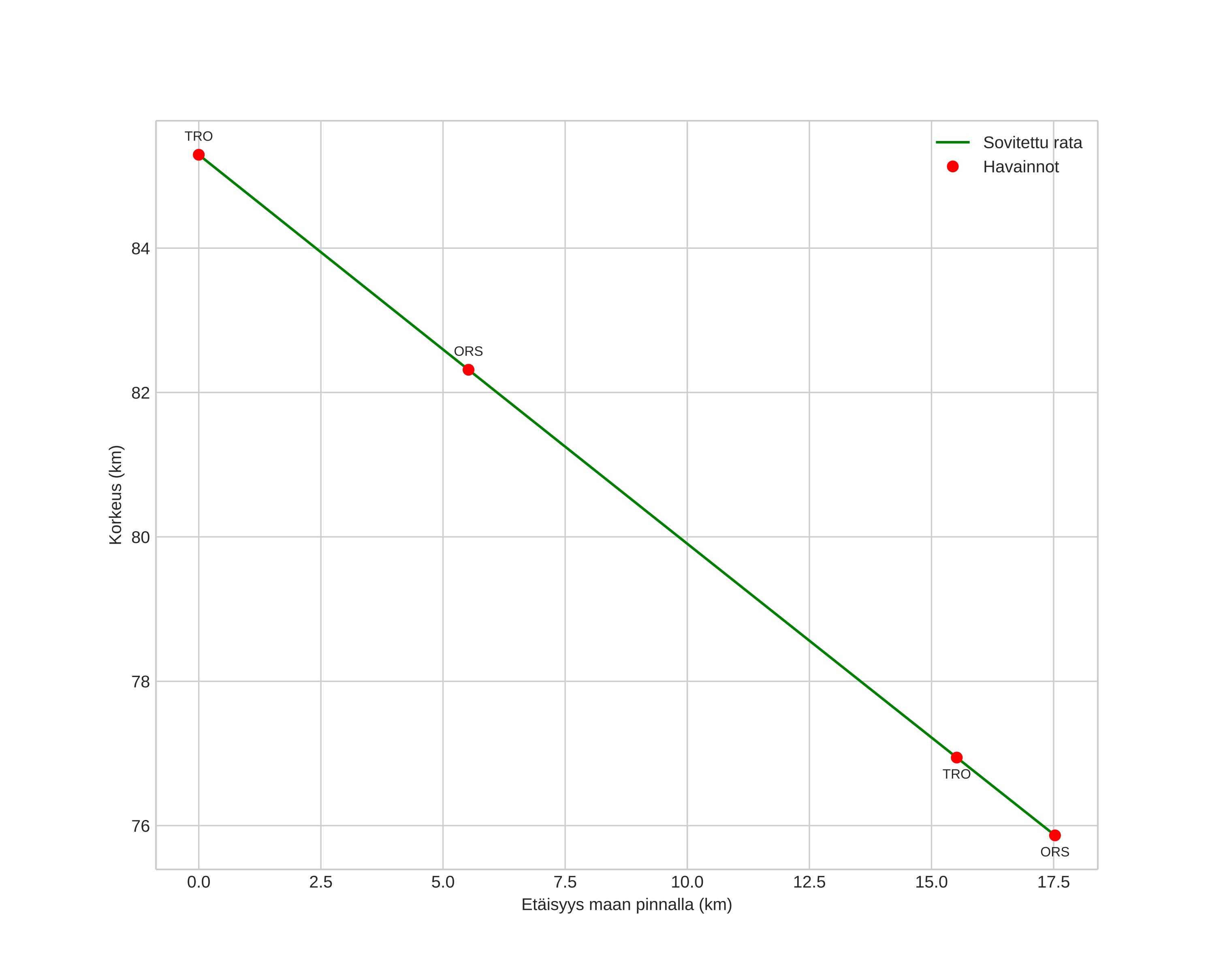
height profile
Meteorin ilmakehärata:
Alkukorkeus: 84,5 km
Loppukorkeus: 76,2 km
Alkupiste: 64,734N 8,667E
Loppupiste: 64,830N 8,901E
Suunta: 45,8°
Kallistuskulma: 28,3°
Tulonopeus: 20,9 km/s
Radiantin R,A,: 13:02 (195,6°)
Radiantin Dekl,: 4,3°
Meteoriparvi: Sporadinen
Meteoroidin rataelementit:
Perihelietäisyys: 0,804 AU
Eksentrisyys: 0,769
Inklinaatio: 5,1°
Nousevan solmun pituus: 31,2°
Perihelin argumentti: 237,4°
Keskianomalia: 354,4°
Epookki: 2020 APR 21 01:18:42
orbit plot

Ei-interaktiivinen kuvaaja | Interaktiivinen kuvaaja

position vs time
speed and acceleration