🇳🇴 🇬🇧 🇩🇪 🇨🇿 🇫🇮

Meteor, poloha: Sveg 2020-04-21 23:10:24 UTC

Soubor KML  |  InteraktivnĂ­ mapa

Mapa zobrazuje dráhy meteoru. Světlejší čáry ukazují směry od pozorovacích stanic při objevení se meteoru a tmavší čáry, kde byl naposledy viděn. Modrá šipka značí viditelnou dráhu meteoru.

static map
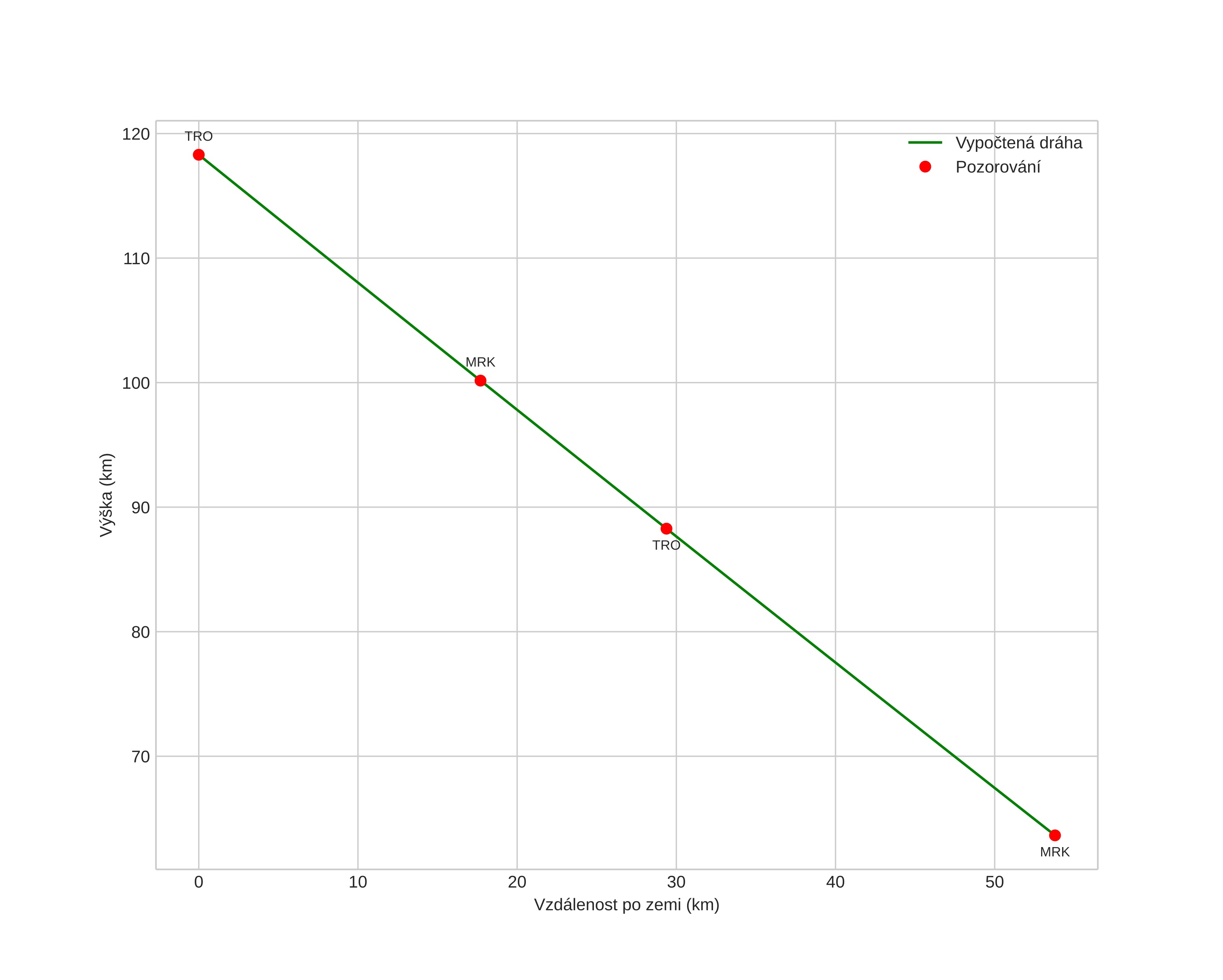
height profile
Atmosférická dráha meteoru:
Počáteční výška: 122,0 km
Konečná výška: 61,8 km
Počáteční poloha: 62,241N 15,133E
Konečná poloha: 62,319N 13,996E
Směr: 278,8°
Sklon: 45,4°
VstupnĂ­ rychlost: 56,7 km/s
Rektascenze radiantu: 18:05 (271,4°)
Deklinace radiantu: 35,1°
MeteorickĂ˝ roj: Lyridy
Elementy dráhy meteoroidu:
Vzdálenost v periheliu: 0,942 AU
Excentricita: 1,729
Sklon dráhy: 84,6°
Délka vzestupného uzlu: 32,0°
Argument perihelia: 205,7°
Střední anomálie: -10,1°
Epocha: 2020 APR 21 23:10:24
orbit plot

NeinteraktivnĂ­ graf | InteraktivnĂ­ graf

position vs time
speed and acceleration