🇳🇴 🇬🇧 🇩🇪 🇨🇿 🇫🇮

Meteor Svegin yllä 2020-04-21 23:10:24 UTC

KML-tiedosto  |  Interaktiivinen kartta

Kartta näyttää meteorin suuntahavainnot. Vaaleammat viivat näyttävät suunnat havaintoasemilta meteorin ilmestyessä, ja tummemmat viivat näyttävät, missä se viimeksi nähtiin. Sininen nuoli näyttää meteorin näkyvän lennon.

static map
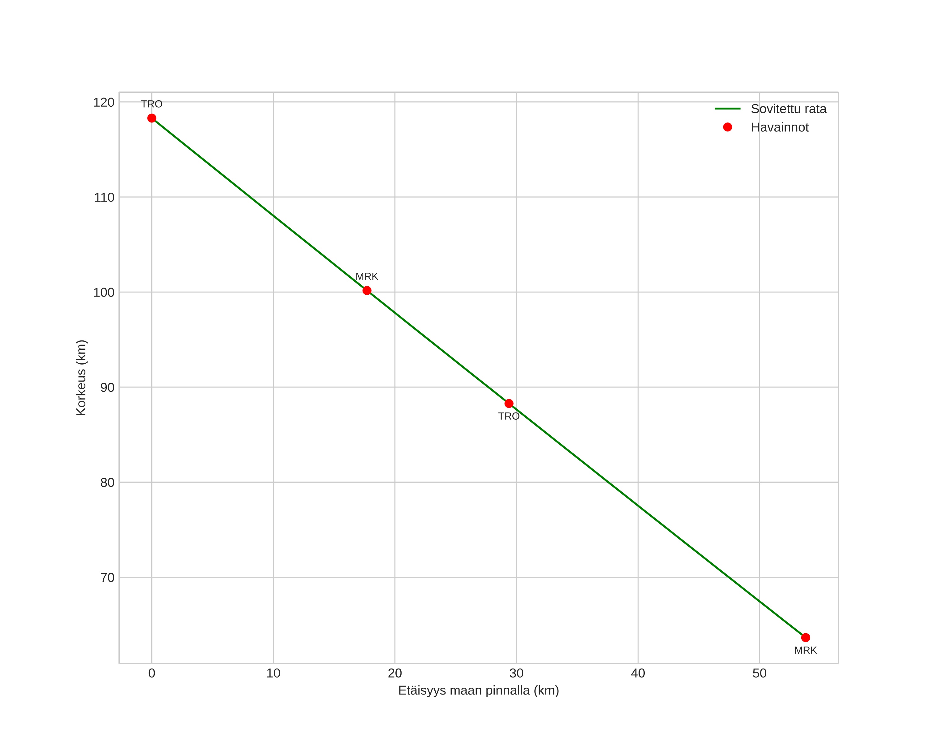
height profile
Meteorin ilmakehärata:
Alkukorkeus: 122,0 km
Loppukorkeus: 61,8 km
Alkupiste: 62,241N 15,133E
Loppupiste: 62,319N 13,996E
Suunta: 278,8°
Kallistuskulma: 45,4°
Tulonopeus: 56,7 km/s
Radiantin R,A,: 18:05 (271,4°)
Radiantin Dekl,: 35,1°
Meteoriparvi: Lyridit
Meteoroidin rataelementit:
Perihelietäisyys: 0,942 AU
Eksentrisyys: 1,729
Inklinaatio: 84,6°
Nousevan solmun pituus: 32,0°
Perihelin argumentti: 205,7°
Keskianomalia: -10,1°
Epookki: 2020 APR 21 23:10:24
orbit plot

Ei-interaktiivinen kuvaaja | Interaktiivinen kuvaaja

position vs time
speed and acceleration