🇳🇴 🇬🇧 🇩🇪 🇨🇿 🇫🇮

Meteor, poloha: Fjerritslev 2020-04-22 23:11:52 UTC

Soubor KML  |  InteraktivnĂ­ mapa

Mapa zobrazuje dráhy meteoru. Světlejší čáry ukazují směry od pozorovacích stanic při objevení se meteoru a tmavší čáry, kde byl naposledy viděn. Modrá šipka značí viditelnou dráhu meteoru.

static map
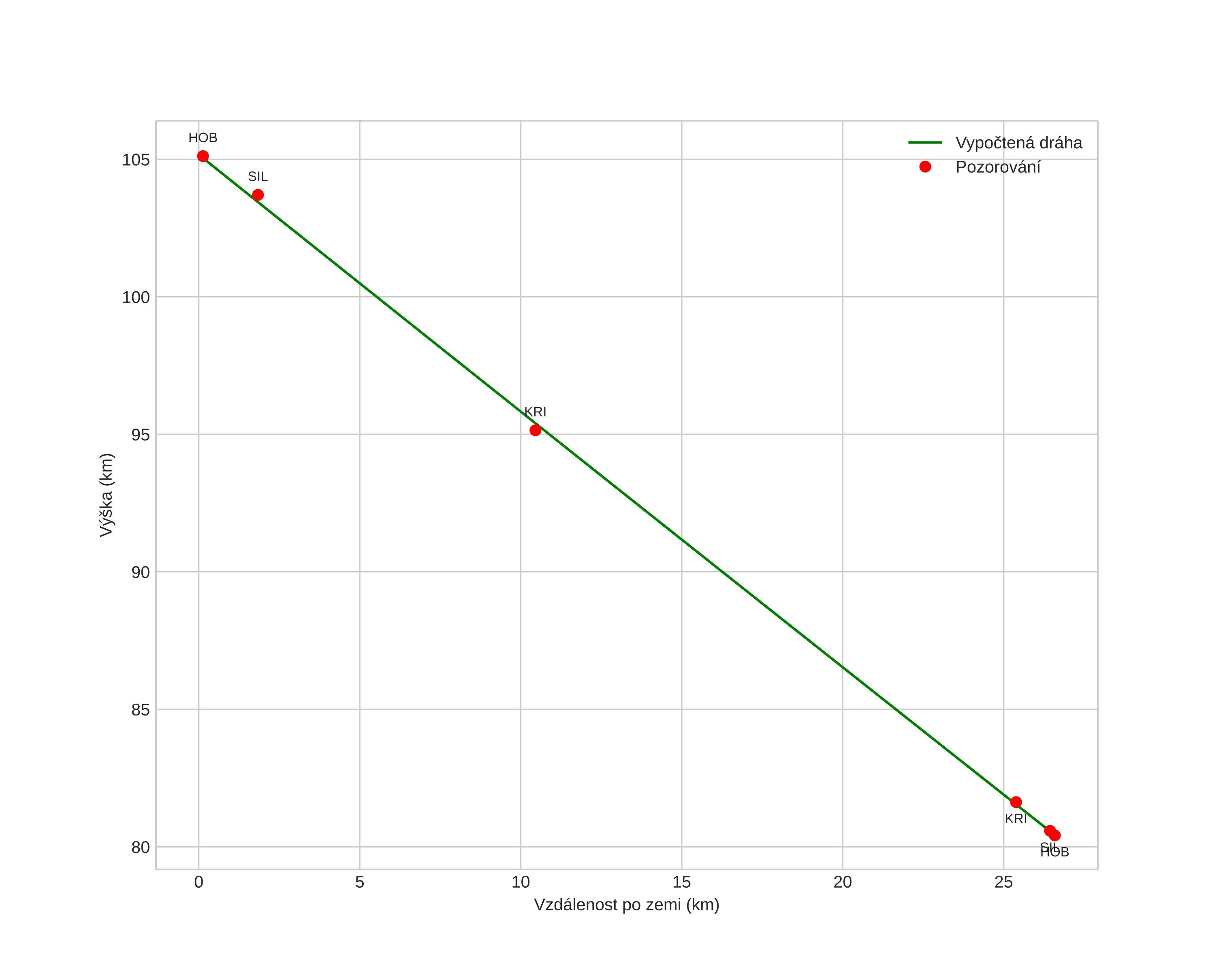
height profile
Atmosférická dráha meteoru:
Počáteční výška: 105,0 km
Konečná výška: 80,0 km
Počáteční poloha: 57,054N 9,780E
Konečná poloha: 57,058N 9,331E
Směr: 271,2°
Sklon: 42,6°
VstupnĂ­ rychlost: 50,7 km/s
Rektascenze radiantu: 18:07 (271,8°)
Deklinace radiantu: 33,6°
MeteorickĂ˝ roj: Lyridy
Elementy dráhy meteoroidu:
Vzdálenost v periheliu: 0,923 AU
Excentricita: 1,163
Sklon dráhy: 81,1°
Délka vzestupného uzlu: 33,0°
Argument perihelia: 212,0°
Střední anomálie: -1,5°
Epocha: 2020 APR 22 23:11:52
orbit plot

NeinteraktivnĂ­ graf | InteraktivnĂ­ graf

position vs time
speed and acceleration