🇳🇴 🇬🇧 🇩🇪 🇨🇿 🇫🇮

Meteor Fjerritslevin yllä 2020-04-22 23:11:52 UTC

KML-tiedosto  |  Interaktiivinen kartta

Kartta näyttää meteorin suuntahavainnot. Vaaleammat viivat näyttävät suunnat havaintoasemilta meteorin ilmestyessä, ja tummemmat viivat näyttävät, missä se viimeksi nähtiin. Sininen nuoli näyttää meteorin näkyvän lennon.

static map
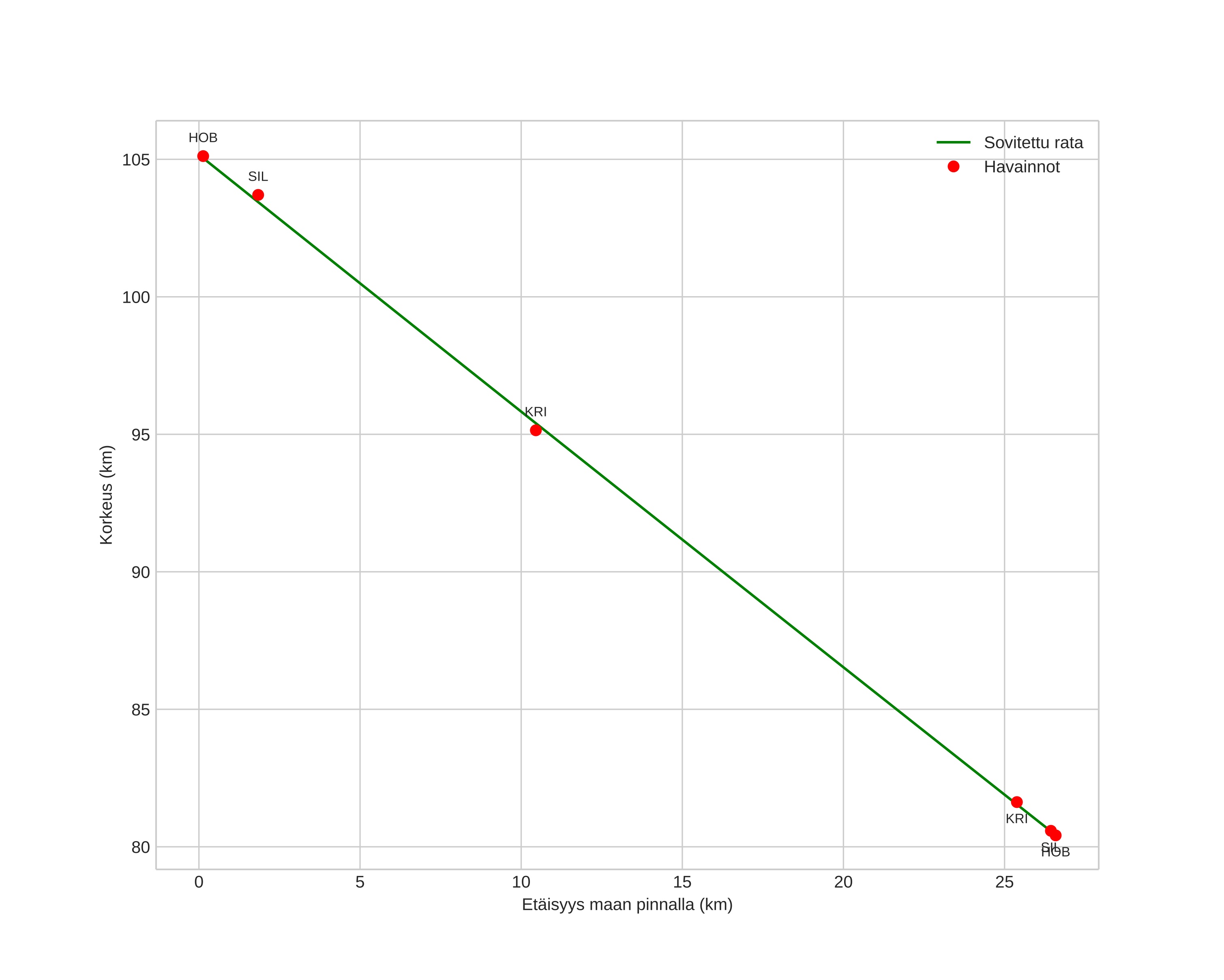
height profile
Meteorin ilmakehärata:
Alkukorkeus: 105,0 km
Loppukorkeus: 80,0 km
Alkupiste: 57,054N 9,780E
Loppupiste: 57,058N 9,331E
Suunta: 271,2°
Kallistuskulma: 42,6°
Tulonopeus: 50,7 km/s
Radiantin R,A,: 18:07 (271,8°)
Radiantin Dekl,: 33,6°
Meteoriparvi: Lyridit
Meteoroidin rataelementit:
Perihelietäisyys: 0,923 AU
Eksentrisyys: 1,163
Inklinaatio: 81,1°
Nousevan solmun pituus: 33,0°
Perihelin argumentti: 212,0°
Keskianomalia: -1,5°
Epookki: 2020 APR 22 23:11:52
orbit plot

Ei-interaktiivinen kuvaaja | Interaktiivinen kuvaaja

position vs time
speed and acceleration