🇳🇴 🇬🇧 🇩🇪 🇨🇿 🇫🇮

Meteor, poloha: Bording Kirkeby 2020-04-23 23:28:07 UTC

Soubor KML  |  InteraktivnĂ­ mapa

Mapa zobrazuje dráhy meteoru. Světlejší čáry ukazují směry od pozorovacích stanic při objevení se meteoru a tmavší čáry, kde byl naposledy viděn. Modrá šipka značí viditelnou dráhu meteoru.

static map
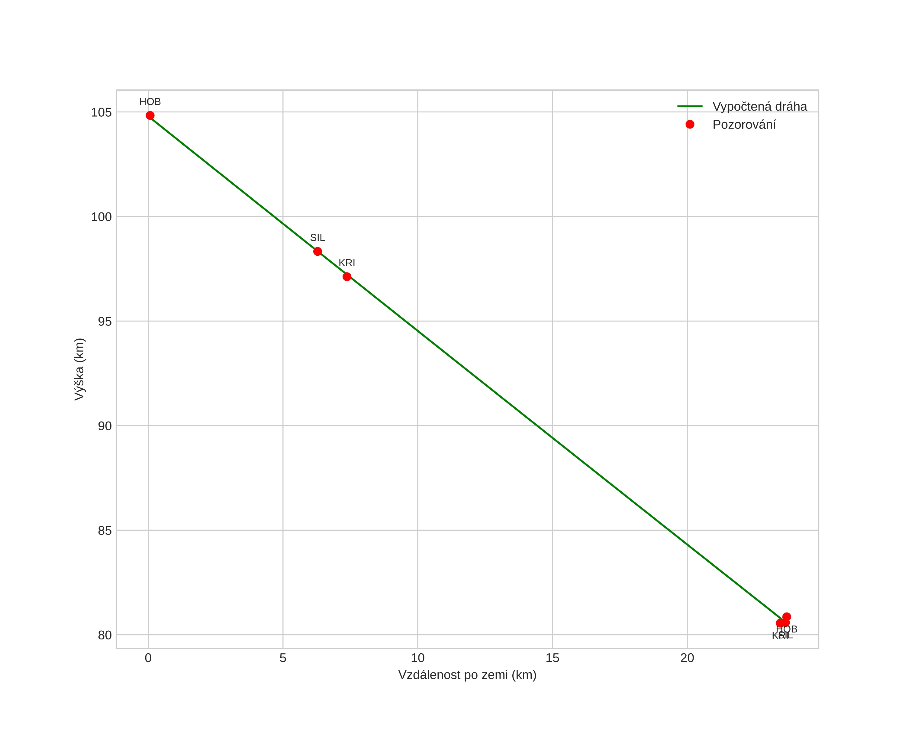
height profile
Atmosférická dráha meteoru:
Počáteční výška: 104,9 km
Konečná výška: 81,1 km
Počáteční poloha: 56,138N 9,735E
Konečná poloha: 56,152N 9,354E
Směr: 274,0°
Sklon: 45,1°
VstupnĂ­ rychlost: 44,5 km/s
Rektascenze radiantu: 18:09 (272,5°)
Deklinace radiantu: 33,6°
MeteorickĂ˝ roj: Lyridy
Elementy dráhy meteoroidu:
Vzdálenost v periheliu: 0,906 AU
Excentricita: 0,744
Sklon dráhy: 75,3°
Délka vzestupného uzlu: 34,0°
Argument perihelia: 219,8°
Střední anomálie: 355,8°
Epocha: 2020 APR 23 23:28:07
orbit plot

NeinteraktivnĂ­ graf | InteraktivnĂ­ graf

position vs time
speed and acceleration