🇳🇴 🇬🇧 🇩🇪 🇨🇿 🇫🇮

Meteor Bording Kirkebyn yllä 2020-04-23 23:28:07 UTC

KML-tiedosto  |  Interaktiivinen kartta

Kartta näyttää meteorin suuntahavainnot. Vaaleammat viivat näyttävät suunnat havaintoasemilta meteorin ilmestyessä, ja tummemmat viivat näyttävät, missä se viimeksi nähtiin. Sininen nuoli näyttää meteorin näkyvän lennon.

static map
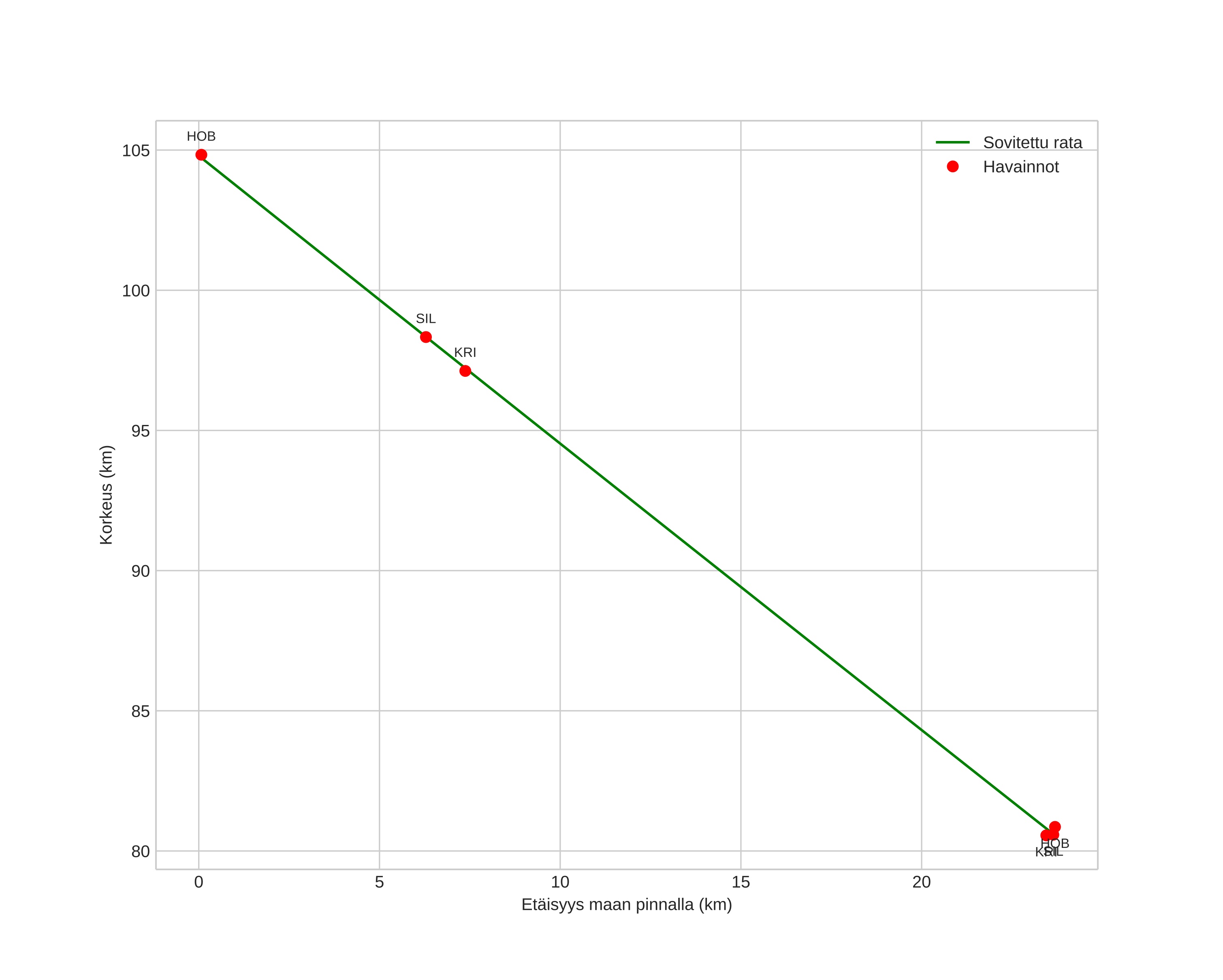
height profile
Meteorin ilmakehärata:
Alkukorkeus: 104,9 km
Loppukorkeus: 81,1 km
Alkupiste: 56,138N 9,735E
Loppupiste: 56,152N 9,354E
Suunta: 274,0°
Kallistuskulma: 45,1°
Tulonopeus: 44,5 km/s
Radiantin R,A,: 18:09 (272,5°)
Radiantin Dekl,: 33,6°
Meteoriparvi: Lyridit
Meteoroidin rataelementit:
Perihelietäisyys: 0,906 AU
Eksentrisyys: 0,744
Inklinaatio: 75,3°
Nousevan solmun pituus: 34,0°
Perihelin argumentti: 219,8°
Keskianomalia: 355,8°
Epookki: 2020 APR 23 23:28:07
orbit plot

Ei-interaktiivinen kuvaaja | Interaktiivinen kuvaaja

position vs time
speed and acceleration