🇳🇴 🇬🇧 🇩🇪 🇨🇿 🇫🇮

Meteor, poloha: Bjørkelangen 2020-04-26 01:10:27 UTC

Soubor KML  |  InteraktivnĂ­ mapa

Mapa zobrazuje dráhy meteoru. Světlejší čáry ukazují směry od pozorovacích stanic při objevení se meteoru a tmavší čáry, kde byl naposledy viděn. Modrá šipka značí viditelnou dráhu meteoru.

static map
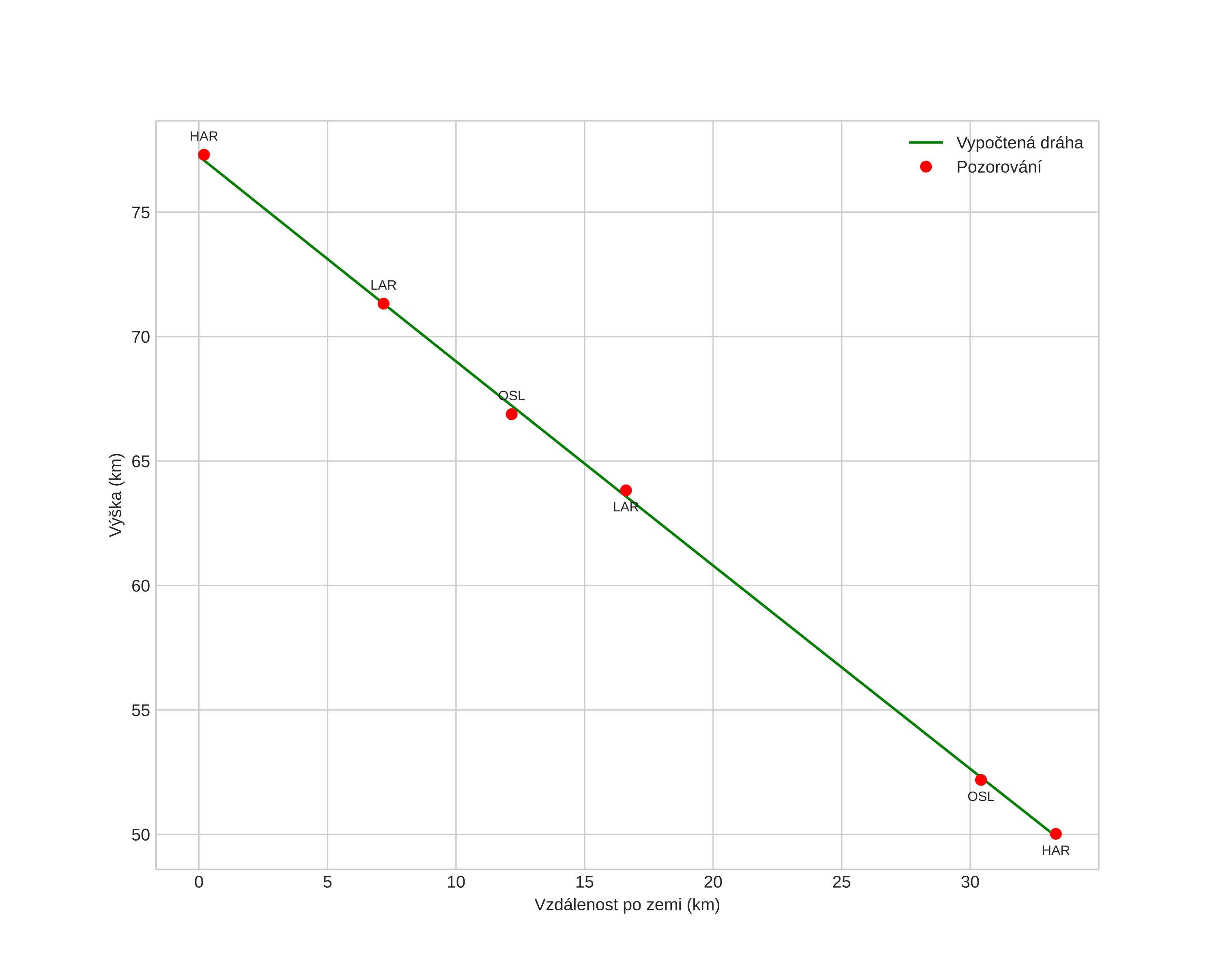
height profile
Atmosférická dráha meteoru:
Počáteční výška: 70,5 km
Konečná výška: 52,2 km
Počáteční poloha: 60,184N 11,398E
Konečná poloha: 59,999N 11,665E
Směr: 144,2°
Sklon: 35,8°
VstupnĂ­ rychlost: 12,7 km/s
Rektascenze radiantu: 07:21 (110,5°)
Deklinace radiantu: 38,5°
MeteorickĂ˝ roj: sporadickĂ˝
Elementy dráhy meteoroidu:
Vzdálenost v periheliu: 0,998 AU
Excentricita: 0,441
Sklon dráhy: 2,9°
Délka vzestupného uzlu: 36,0°
Argument perihelia: 166,7°
Střední anomálie: 4,6°
Epocha: 2020 APR 26 01:10:27
orbit plot

NeinteraktivnĂ­ graf | InteraktivnĂ­ graf

position vs time
speed and acceleration