🇳🇴 🇬🇧 🇩🇪 🇨🇿 🇫🇮

Meteor Bjørkelangenin yllä 2020-04-26 01:10:27 UTC

KML-tiedosto  |  Interaktiivinen kartta

Kartta näyttää meteorin suuntahavainnot. Vaaleammat viivat näyttävät suunnat havaintoasemilta meteorin ilmestyessä, ja tummemmat viivat näyttävät, missä se viimeksi nähtiin. Sininen nuoli näyttää meteorin näkyvän lennon.

static map
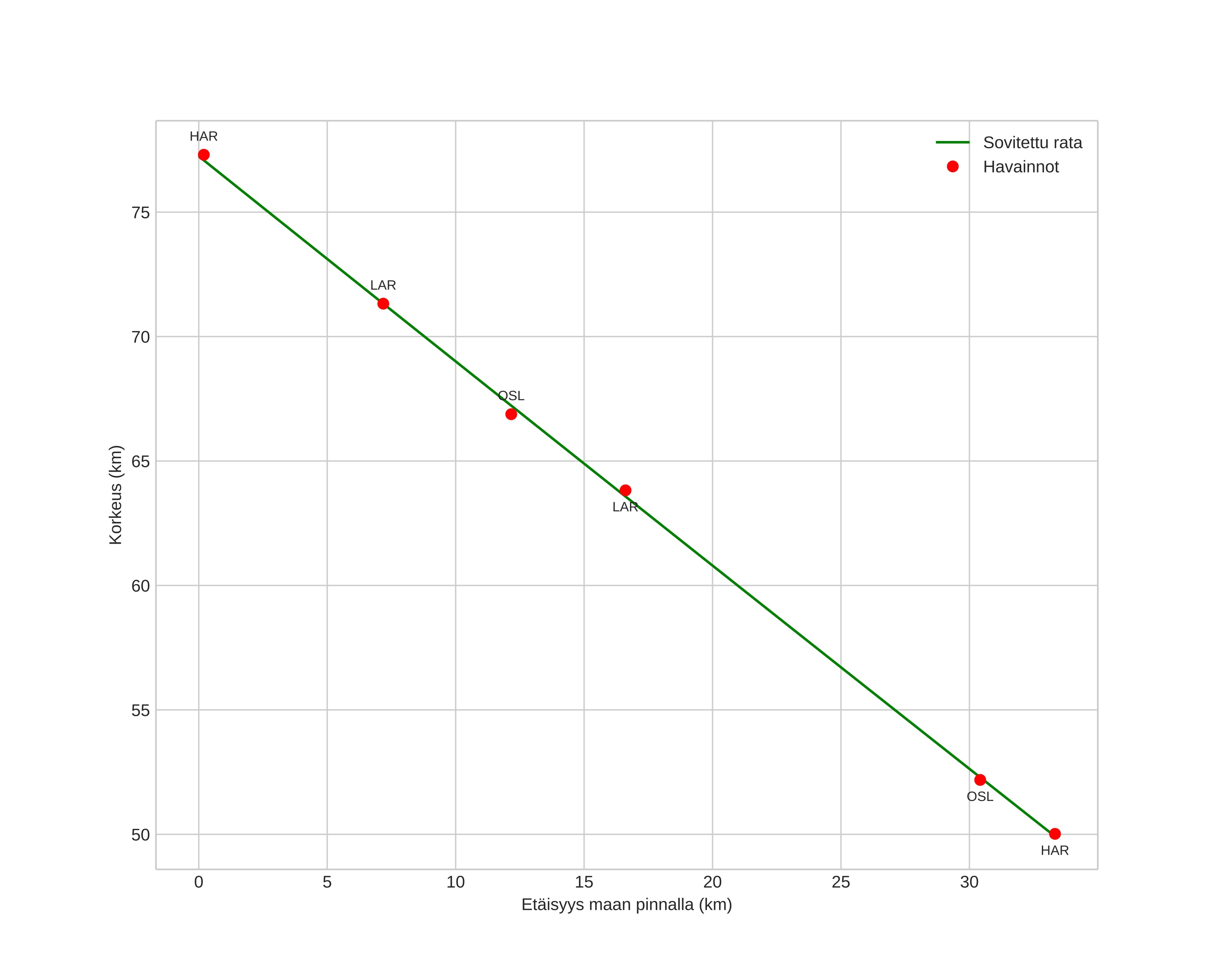
height profile
Meteorin ilmakehärata:
Alkukorkeus: 70,5 km
Loppukorkeus: 52,2 km
Alkupiste: 60,184N 11,398E
Loppupiste: 59,999N 11,665E
Suunta: 144,2°
Kallistuskulma: 35,8°
Tulonopeus: 12,7 km/s
Radiantin R,A,: 07:21 (110,5°)
Radiantin Dekl,: 38,5°
Meteoriparvi: Sporadinen
Meteoroidin rataelementit:
Perihelietäisyys: 0,998 AU
Eksentrisyys: 0,441
Inklinaatio: 2,9°
Nousevan solmun pituus: 36,0°
Perihelin argumentti: 166,7°
Keskianomalia: 4,6°
Epookki: 2020 APR 26 01:10:27
orbit plot

Ei-interaktiivinen kuvaaja | Interaktiivinen kuvaaja

position vs time
speed and acceleration