🇳🇴 🇬🇧 🇩🇪 🇨🇿 🇫🇮

Meteor, poloha: Falkhytta 2020-05-03 23:39:11 UTC

Larvik – 1
Larvik – 1
Trondheim – 1
Trondheim – 1

Soubor KML  | Interaktivní mapa

map

Mapa zobrazuje dráhy meteoru. Světlejší čáry ukazují směry od pozorovacích stanic při objevení se meteoru a tmavší čáry, kde byl naposledy viděn. Modrá šipka značí viditelnou dráhu meteoru.

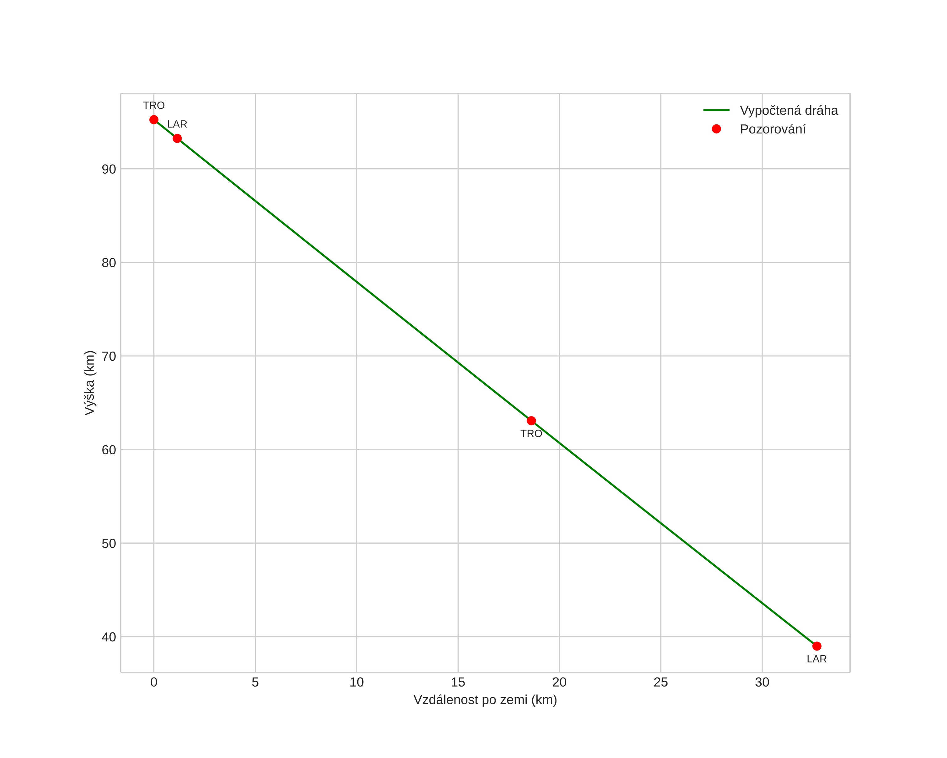
height profile
Atmosférická dráha meteoru:
Počáteční výška: 95,6 km
Konečná výška: 49,0 km
Počáteční poloha: 63,875N 7,028E
Konečná poloha: 63,811N 6,478E
Směr: 255,6°
Sklon: 59,1°
Vstupní rychlost: 33,2 km/s
Rektascenze radiantu: 19:07 (286,9°)
Deklinace radiantu: 55,3°
Meteorický roj: sporadický
Elementy dráhy meteoroidu:
Vzdálenost v periheliu: 1,008 AU
Excentricita: 0,593
Sklon dráhy: 53,8°
Délka vzestupného uzlu: 43,7°
Argument perihelia: 178,2°
Střední anomálie: 0,4°
Epocha: 2020 MAY 03 23:39:11
orbit

Neinteraktivní graf | Interaktivní graf

position vs time
speed & acceleration